网站首页  词典首页


请输入您要查询的字词:

 

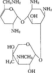
字词 西梭霉素
类别 中英文字词句释义及详细解析
释义 西梭霉素

C19H37N5O7=447.53

CAS-32385-11-8

O-3-脱氧-4-C-甲基-3-甲氨基-β-L-阿拉伯吡喃糖基-(1→4)-O-[2.6-二氨基-2,3,4,6-四脱氧-α-D-甘油-己-4-烯吡喃基(1→6)]-2-脱氧-L-链霉胺。

O-3-Deoxy-4-C-methyl-3-(methylamino)-β-L-arabinopyranosyl-(1-→4)-O-[2.6-diamino-2,3,4,6-tetradeoxy-α-D-glycero-hex-4-enopyranosyl(1→6)]-2-deoxy-L-streptamine.

抗生素类药,抗菌药。

西索米星,紫苏霉素。

Sisomicin,Sissomicin,Rickamicin Sisolline.

INN,DCIT,JAN,USAN,USP,MI.

随便看

 

离鸟网收录3541549条中英文词条,其功能与新华字典、现代汉语词典、牛津高阶英汉词典等各类中英文词典类似,基本涵盖了全部常用中英文字词句的读音、释义及用法,是语言学习和写作的有利工具。

 

Copyright © 2004-2024 vtrois.com All Rights Reserved
更新时间:2026/4/18 8:59:54