网站首页  词典首页


请输入您要查询的字词:

 

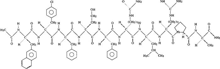
字词 西曲瑞克
类别 中英文字词句释义及详细解析
释义 西曲瑞克

C70H92ClN17O14=1413.06

CAS-120287-85-6

N-乙酰-3-(2-萘基)-D-丙氨酰-对氯-D-苯丙氨酰-3-(3-吡啶基)-D-丙氨酰-L-丝氨酰-L-酪氨酰-N5-甲氨酰-D-鸟氨酰-L-亮氨酰-L-精氨酰-L-脯氨酰-D-丙氨酰胺。

N-Acetyl-3-(2-naphthyl)-D-alanyl-p-chloro-Dphenylalanyl-3-(3-pyridyl)-D-alanyl-L-seryl-L-tyrosyl-N5-carbamoyl-D-ornithyl-L-leucyl-L-arginylL-prolyl-D-alaninamide.

抗肿瘤药。

Cetrirelix.

INN,USAN.

随便看

 

离鸟网收录3541549条中英文词条,其功能与新华字典、现代汉语词典、牛津高阶英汉词典等各类中英文词典类似,基本涵盖了全部常用中英文字词句的读音、释义及用法,是语言学习和写作的有利工具。

 

Copyright © 2004-2024 vtrois.com All Rights Reserved
更新时间:2026/4/18 10:27:45