网站首页  词典首页


请输入您要查询的字词:

 

字词 西托拉嗪
类别 中英文字词句释义及详细解析
释义 西托拉嗪

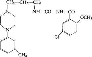
C23H29ClN4O3=444.96

CAS-54063-30-8

1-(5-氯-2-甲氧基苯甲酰)-3-[3-(4-间-甲苯基-1-哌嗪)丙基]脲。

1-(5-Chloro-2-methoxybenzoyl)-3-[3-(4-m-tolyl-1-piperazinyl)propyl]urea.

5-氯-2-甲氧-N-[[[3-[4-(3-甲苯基)-1-哌嗪基]丙基]氨基]羰基]苯甲酰胺。

5-Chloro-2-methoxy-N-[[[3-[4-(3-methylphenyl)-1-piperzinyl]propyl]amimo]carbonyl]benzamide.

肌肉松弛药。

西托哌嗪。

Ciltoprazine.

INN,USAN.

随便看

 

离鸟网收录3541549条中英文词条,其功能与新华字典、现代汉语词典、牛津高阶英汉词典等各类中英文词典类似,基本涵盖了全部常用中英文字词句的读音、释义及用法,是语言学习和写作的有利工具。

 

Copyright © 2004-2024 vtrois.com All Rights Reserved
更新时间:2026/4/18 3:44:52