网站首页  词典首页


请输入您要查询的字词:

 

字词 西奈芬净
类别 中英文字词句释义及详细解析
释义 西奈芬净

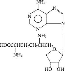
C15H23N7O5=381.39

CAS-58944-73-3

(β-D-核)-6,9-二氨基-1-(6-氨基-9H-嘌呤-9-基)-1,5,6,7,8,9-六去氧-癸呋喃糖醛酸。

(β-D-ribo)-6,9-Diamino-1-(6-amino-9H-purin-9-yl)-1,5,6,7,8,9-hexadeoxy-decofuranuronic acid.

6,9-二氨基-1-(6-氨基-9H-嘌呤-9-基)-1,5,6,7,8,9-六去氧-β-D-核-癸呋喃糖醛酸。

6,9-Diamino-1-(6-amino-9H-purin-9-yl)-1,5,6,7,8,9-hexadeoxy-β-D-ribo-decofuranuronic acid.

核苷抗菌素,抗真菌药。

Sinefungin,Compound 57926,A 9145,RP 32232,Antibiotic A9145,Antibiotic 32232.

INN,USAN.

随便看

 

离鸟网收录3541549条中英文词条,其功能与新华字典、现代汉语词典、牛津高阶英汉词典等各类中英文词典类似,基本涵盖了全部常用中英文字词句的读音、释义及用法,是语言学习和写作的有利工具。

 

Copyright © 2004-2024 vtrois.com All Rights Reserved
更新时间:2026/4/17 18:38:10