网站首页  词典首页


请输入您要查询的字词:

 

字词 西地霉素
类别 中英文字词句释义及详细解析
释义 西地霉素

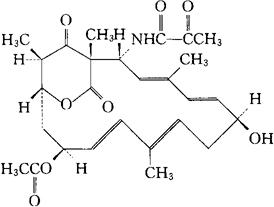
C27H35NO8=501.58

CAS-23477-98-7

[1S-(1R*,2S*,3E,5E,7R*,9E,11E,13R*,15S*,19S*)]-N-[13-乙酰氧-7-羟-1,4,10,19-四甲基-17,18-二氧代-16-噁二环并[13,2,2]十九烷基-3,5,9,11-四烯-2-基]-2-氧代-丙酰胺。

[1S-(1R*,2S*,3E,5E,7R*,9E,11E,13R*,15S*,19S*)]-N-[13-(acetyloxy)-7-Hydroxy-1,4,10,19-tetramethyl-17,18-dioxo-16-oxabicyclo[13,2,2]nonadeca-3,5,9,11-tetraen-2-yl]-2-oxo-propanamide.

(-)-N-[(1S,2R,3E,5E,7S,9E,11E,13S,15R,19R)-7,13-二羟-1,4,10,19-四甲基-17,18-二氧代-16-噁二环并[13,2,2]十九烷基-3,5,9,11-四烯-2-基]丙酮酰胺13-醋酸。

(-)-N-[(1S,2R,3E,5E,7S,9E,11E,13S,15R,19R)-7,13-Dihydroxy-1,4,10,19-tetramethyl-17,18-dioxo-16-oxabicyclo[13,2,2]nonadeca-3,5,9,11-tetraen-2-yl]pyruvamide 13-acetate.

抗菌药(兽用)。

司得卡霉素。

Sedecamycin,Ro 23-0731/000,T-2636A,Bundlin,T-2636.

INN,USAN.

随便看

 

离鸟网收录3541549条中英文词条,其功能与新华字典、现代汉语词典、牛津高阶英汉词典等各类中英文词典类似,基本涵盖了全部常用中英文字词句的读音、释义及用法,是语言学习和写作的有利工具。

 

Copyright © 2004-2024 vtrois.com All Rights Reserved
更新时间:2026/4/18 2:03:03