西佐喃[中]
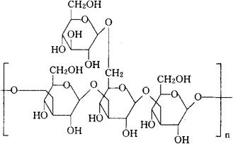
(C24H40O20)n CAS-9050-67-3 聚[3→(O-β-D-吡喃葡糖基(1→3)-O-[β-D-吡喃葡糖基-(1→6)]-O-β-D-吡喃葡糖基-(1→3)-O-β-D-吡喃葡糖基)→1]。 Poly[3→(O-β-D-glucopyranosyl(1→3)-O[β-D-glucopyranosyl-(1→6)]-O-β-D-glucopyranosyl-(1→3)-O-β-D-glucopyranosyl)→1]. 抗肿瘤药。 西索菲兰。 Sizofiran. INN,USAN,MI.  |