装锅送液过程的计算
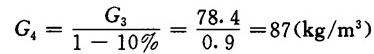
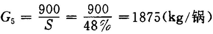
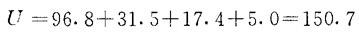
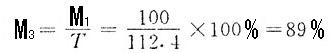
1.入锅木片及产浆量的计算 每米3锅容装绝干木片量G2:  每米3锅容产绝干浆量G3  每米3锅容产风干浆量G4:  每锅产风干浆量G  每产1吨风干浆需装绝干木片量G5:  木片带入的水分W:  每米3锅容木片带入的水分V1:  2.入锅白液及黑液量的计算 每米3锅容送入的白液及黑液量V2:  每产1t风干浆应送液量V3:  每产1t风干浆耗用活性碱(Na2O计)量W2  需送白液体积V1:  白液占总碱液量的百分比E:  送入黑液的体积V5:  黑液体积占总碱液量的百分比F:  3.白液组成的计算 已知:硫化度B为25%,苛化率D为88%,还原率Q为92%,则:  自液组成原成分总量U:  碱液活性度M3:  入锅白液的总Na2O量W3:  以Na2()折合原成分的换算系数K:  入锅白液所含无机盐(Na2S.Na2CO3和Na2SO4)的量W4  4.入锅黑液的组成计算 已知:黑液固形物中有机物与无饥物之比为7:3,则: 入锅黑液的固形物W3:  式中 0.183——浓度为12°Be′(15()的黑液,每升含有绝干固形物为0.183kg 入锅黑液中有机物量W6:  入锅黑液中无机物量W7:  黑液的Na2O含量W8(取黑液无机物的组成与白液相同):  入锅全部物料量列入表1-2-23。 表1-2-23 入锅物料组分及数量表 (kg/t风干浆)  |