网站首页  词典首页


请输入您要查询的字词:

 

字词 表观容重法
类别 中英文字词句释义及详细解析
释义 表观容重法

[说明]该法是根据木片自由堆积容重来计算木片水分的,称为快速简易测定法。

[测定方法]在一个刚好10L的直身圆筒内自由填充散状木片,每次约取1.5L木片。每次填充后稍平整,直至满足10L为止,称木片净重,后计算即可。

式中 x1-木片水分(%)

x2-木片表观容重(t/m3)(1t/m3=104g/10L)

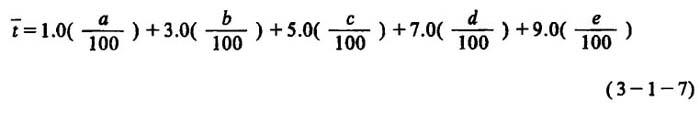
[使用条件]根据下式,当测试所用的木片t值在3~5mm内时,式3-1-6才可使用。

式中 t-本片平均厚度(mm)

a-厚度<2mm木片的百分数(%)

b-厚度2~4mm木片的百分数(%)

c-厚度4~6mm木片的百分数(%)

d-厚度6~8mm木片的百分数(%)

e-厚度>8mm木片的百分数(%)

[例]一批木片经按上述测定,其容重为4080g/10L,求其水分含量。

随便看

 

离鸟网收录3541549条中英文词条,其功能与新华字典、现代汉语词典、牛津高阶英汉词典等各类中英文词典类似,基本涵盖了全部常用中英文字词句的读音、释义及用法,是语言学习和写作的有利工具。

 

Copyright © 2004-2024 vtrois.com All Rights Reserved
更新时间:2026/4/19 2:13:34