网站首页  词典首页


请输入您要查询的字词:

 

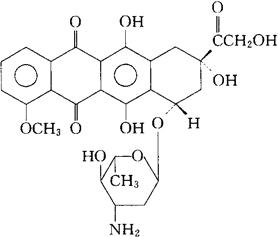
字词 表柔比星[中]
类别 中英文字词句释义及详细解析
释义 表柔比星[中]

C27H29NO11=543.53

CAS-56420-45-2

(1S,3S)-3-乙醇酰-I,2,3,4,6,11-六氢-3,5,12-三羟基-10-甲氧基-6,11-二氧代-1-并四苯基的-3-氨基-2,3,6-三脱氧-α-L-阿拉伯-己吡喃糖甙。

(1S,3S)-3-Glycoloyl-1,2,3,4,6,11-hexahydro-3,5,12-trihydroxy-10-methoxy-6,11,dioxo-1-naphthacenyl 3-amino-2,3,6-trideoxy-L-arabino-hexopyranoside.

抗生素类药。

Epirubicin.

INN,DCIT,USAN.

随便看

 

离鸟网收录3541549条中英文词条,其功能与新华字典、现代汉语词典、牛津高阶英汉词典等各类中英文词典类似,基本涵盖了全部常用中英文字词句的读音、释义及用法,是语言学习和写作的有利工具。

 

Copyright © 2004-2024 vtrois.com All Rights Reserved
更新时间:2026/4/18 13:44:49