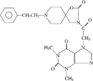
螺茶碱
C24H28N6O5=480.52 CAS-98204-48-9 8-苯乙基-3-[(1,2,3,6-四氢-1,3-二甲基-2,6-二氧代嘌呤-7基)乙酰]-1-氧杂-3,8-二氮杂螺[4,5]癸烷-2-酮。 8-Phenethyl-3-[(1,2,3,6-tetrahydro-1,3-dimethyl2,6-dioxopurin-7-yl)acetyl]-1-oxa-3,8-diazaspiro[4,5]decan-2-one. 支气管扩张抗炎药。 Spirofylline. INN,USAN.  |