网站首页  词典首页


请输入您要查询的字词:

 

字词 螺立林
类别 中英文字词句释义及详细解析
释义 螺立林

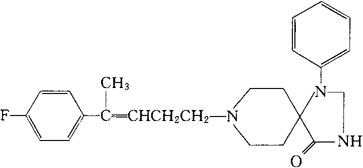
C24H28FN3O=393.50

CAS-357-66-4

8-[4-(对-氟苯基)-3-戊烯基]-1-苯基-1,3,8-三氮杂螺[4,5]癸烷-4-酮。

8-[4-(p-Fluorophenyl)-3-pentenyl]-1-phenyl-1,3,8-triaza spiro[4,5]decan-4-one.

安定药,抗精神病药。

Spizilene.

INN,BAN,NFN,USAN,MI.

随便看

 

离鸟网收录3541549条中英文词条,其功能与新华字典、现代汉语词典、牛津高阶英汉词典等各类中英文词典类似,基本涵盖了全部常用中英文字词句的读音、释义及用法,是语言学习和写作的有利工具。

 

Copyright © 2004-2024 vtrois.com All Rights Reserved
更新时间:2026/4/19 8:12:17