螺噁群
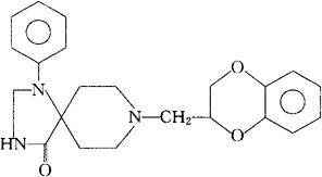
C22H25N3O3=379.46 CAS-1054-88-2 8-(1,4-苯并二噁烷-2-基-甲基)-1-苯基1,3,8-三氮杂螺[4,5]癸烷-4-酮。 8-(1,4-Benzodioxan-2-yl-methyl)-1-phenyl-1,3,8-triazaspiro[4,5]decane-4-one. 8-[(2,3-二氢-1,4-苯并二噁烷-2-基)甲基]-1-苯基-1,3,8-三氮杂螺[4.5]癸烷-4-酮。 8-[(2,3-Dihydro-1,4-benzodioxan-2-yl)methyl]-1- phenyl-1,3,8-triazaspiro[4.5]decan-4-one. 抗精神病药。 Spiroxatrine,Spiroxamide,R 5188. INN,USAN.  |