网站首页  词典首页


请输入您要查询的字词:

 

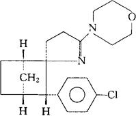
字词 螺克拉明
类别 中英文字词句释义及详细解析
释义 螺克拉明

C20H25C1N2O=344.88

CAS-90243-97-3

(-)-(1R,2R,3S,4S)-3-(对-氯苯基)-2′-吗啉基螺去甲-菠烷-2,5′-[1]吡咯啉。

(-)-(1R,2R,3S,4S)-3-(p-Chlorophenyl)-2′-morpholinospiro norbornane-2,5′-[1]pyrroline.

3-(4-氯苯基)-3′,4′-二氢-5′-(4-吗啉基)螺二环并[2.2.1]庚烷-2,2′-(2H)吡咯。

3-(4-Chlorophenyl)-3′,4′-dihydro-5′-(4-morpholinyl)spirobicyclo[2.2.1]heptane-2,2′-(2H)pyrrole.

抗抑郁药。

Spiclamine.

INN,USAN.

随便看

 

离鸟网收录3541549条中英文词条,其功能与新华字典、现代汉语词典、牛津高阶英汉词典等各类中英文词典类似,基本涵盖了全部常用中英文字词句的读音、释义及用法,是语言学习和写作的有利工具。

 

Copyright © 2004-2024 vtrois.com All Rights Reserved
更新时间:2026/4/21 2:37:51