网站首页  词典首页


请输入您要查询的字词:

 

字词 蜂斗菜
类别 中英文字词句释义及详细解析
释义 蜂斗菜

【概况】:

异名 蛇头草(《江西草药》),南瓜七(《浙江民间常用草药》),毒解草(《景德镇草药手册》)。

基源 为菊科蜂斗菜属植物蜂斗菜的根茎。蜂斗菜属全世界约15种;中国约7种,其中2种入药。

原植物 蜂斗菜Petasites japonicus(Sieb.et Zucc.)F.Schmidt

形态 多年生草本,全株多少被白色茸毛或绵毛,有根状茎。早春由根状茎先长出花茎,高7~25cm,近雌雄异株,雌株花茎在花后增长,高可达70cm,苞叶披针形,长3~8cm。雌头状花序密集于花茎顶组成总状聚伞花序,总苞片2层,雌花花冠细丝状,白色;雄株花冠管状,或两性,顶端5齿裂,裂齿披针形,急尖,黄白色,不育。瘦果釜形,光滑无毛;冠毛丰富,白色。

后生出茎叶,有长柄,叶片圆肾形,直径8~12cm,顶端圆形,基部耳状心形,边缘有齿,背面常被蛛丝状白绵毛,具掌状脉。花果期7~10月。

(图见《中国高等植物图鉴》.第4册.547页.图6508)

生境与分布 生于林下,潮湿地。

分布于中国安徽、江西、福建、湖北、陕西、四川等省区,上海、江苏等地有栽培。朝鲜、日本及原苏联远东地区亦有分布。

【生药】:

采集 夏、秋季采挖根部,除去地上部分及细根,鲜用或晒干。

【化学】:

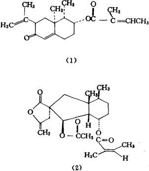
根含蜂斗菜素(Petasin)(1)50%~55%[1]、蒈烯-3(3-Carene)、雅槛兰树油烯(Eremophilene)、α-檀香烯(α-Santalene)、百里香酚甲醚(Thymol methylether)、呋喃雅槛兰树油烷(Furanoeremophilane)、橐吾酮(Ligularone)、白蜂斗菜素(Petasalbin)、白蜂斗菜素当归酸酯(Albopetasin Petasalbin angelate)、6-羟基雅槛兰烯内酯(6-Hydroxyeremophilenolide)、白蜂斗菜素甲醚、呋喃蜂斗菜醇(Furanofukinol)、6-乙酰基呋喃蜂斗菜醇、6-当归酰基呋喃蜂斗菜醇、硫-呋喃蜂斗菜二酯(S-Furanopetasitin)、呋喃蜂斗菜单酯(Furanojaponin)[2]、原儿茶酸(Protocatechuic acid)、当归酸(Angelic acid)、己酸(Caproic acid)、辛酸(Caprylic acid)、β-谷甾醇、黄酮类化合物[3]

附 花茎含壬烯-1(1-Nonene)、当归酸、十一碳烯-1(1-Undecene)、十三碳烯-1(1-Tridecene)、3-乙酰氧基壬烯-1(3-Acetoxy-1-nonene)、β-榄香烯(β-Elemene)、β-甜没药烯(β-Bisabolene)、异戊醇、己烯-3-醇-1(3-Hexon-1-o1)、壬烯-1-醇-3(1-Nonen-3-o1)、l-芳樟醇、藜芦醚(Veratrole)[4]、蜂斗菜酮(Fukinone)[5]、β-石竹烯(β-Caryophyllene)、百里香酚甲醚、蜂斗菜醇酮(Petasitolone)[6]、十三碳三烯-1,4,7(1,4,7-Tridecatriene)、对-聚伞花素(PCymene)[7]、蜂斗菜螺内酯(Fukinolide)(2)、二氢蜂斗菜螺内酯(Dihydrofukinolide)、合模蜂斗菜螺内酯(Homofukinolide)、硫-蜂斗菜螺内酯(SFukinolide)[8]、蜂斗菜哪螺内酯(Fukinanolide)[7,8]、蜂斗菜亭(Petasitin)、异蜂斗菜素(Isopetasin)[9]、蜂斗菜酸(Fukinolic acid)[10]、雅槛兰蜂斗菜酮(Eremofukinone)、9-乙酰氧基蜂斗菜哪螺内酯(9-Acetoxyfukinanolide)、硫-蜂斗菜单酯(S-Japonin)[11]、山柰酚、槲皮素、咖啡酸、绿原酸(Chlorogenic acid)、延胡索酸(Fumaric acid)及17种氨基酸[12]。叶中含十三碳烯-1β-石竹烯[4]、蜂斗菜酸[10]、异蜂斗菜素、蜂斗菜螺内酯[13]

参考文献 [1] CA 1970;73∶133980y [2] Tetrahedron Lett 1971;31∶2961 [3] CA 1960;54∶17795f [4] 药学杂志(日) 1973;93∶123 [5] 药学杂志(日) 1972;92∶210 [6] Bull Chem Soc Jpn 1971;44∶3165 [7] CA 1972;77∶52203c [8] CA 1973∶78∶124744a [9] Tetrahedron Lett 1968;(5)∶629 [10] CA 1970;72∶121115m [11] 医学中央杂志(日) 1973;296∶486 [12] CA 1974;80∶93152r [13] CA 1968;68∶95997w

。【药性】:

性味 《江西草药》:“苦、辛,凉。”

功效 消肿,解毒,散瘀。

主治 ❶ 《全国中草药汇编》:“毒蛇咬伤,痈疖肿毒,跌打损伤。”
❷ 《江西草药》:“治扁桃体炎,痈肿疔毒,毒蛇咬伤。”
❸ 《浙江民间常用草药》:“治跌打损伤,毒蛇咬伤。”

用法用量 内服:煎汤,10~15g;或捣汁服。外用:捣敷,或捣汁含漱。

。【临床应用】:

单方应用 ❶ 《江西草药》:“治扁桃体炎:蜂斗菜15g。水煎,频频含漱。”
❷ 《浙江民间常用草药》:“治跌打损伤:鲜蜂斗菜根茎9~15g。捣烂取汁服或水煎服,渣外敷伤处。


❸ 江西药科学校新医药资料 1970;(4):“治疗毒蛇咬伤:先用针刺局部,然后取鲜蜂斗菜根适量捣烂,敷伤口周围。严重者再用蜂斗菜根15g捣汁生吃,或煎水内服。每日1次,连服2~3天。

一般病例用药2天即消肿,体温、视力恢复正常,3~5天内痊愈。”

随便看

 

离鸟网收录3541549条中英文词条,其功能与新华字典、现代汉语词典、牛津高阶英汉词典等各类中英文词典类似,基本涵盖了全部常用中英文字词句的读音、释义及用法,是语言学习和写作的有利工具。

 

Copyright © 2004-2024 vtrois.com All Rights Reserved
更新时间:2026/4/19 14:55:35