网站首页  词典首页


请输入您要查询的字词:

 

字词 蛇退步
类别 中英文字词句释义及详细解析
释义 蛇退步

【概况】:

异名 蛇鳞草、三枝标(《广东中药》),三叉蕨(《广西药用植物名录》),入地蜈蚣(广东),小一包针(广西。

基源 为金星蕨科新月蕨属植物三羽新月蕨的干燥全草。

原植物 三羽新月蕨Pronephrium triphyllum(Sw.)Holtt.[Meniscium triphyllum Sw.;Dryopteris triphylla C.Chr.;Abacopteris triphylla(Sw.)Ching],又名三叶毛蕨(《广州植物志》),三叶新月蕨(《台湾植物志》)。

形态 植株高20~50cm。

根状茎横生,疏生披针形棕色鳞片及密被灰白色短毛。

叶远生或近生,一型;叶柄长10~35cm,禾秆色,有短毛,基部疏生鳞片;叶片纸质或坚纸质,卵形或卵状披针形,3出复叶,偶有5小叶的,一回羽状;顶生羽片特大,椭圆状长圆形,长10~20cm,宽2~4.5cm,顶端急缩狭呈长渐尖,基部楔形,全缘或呈波状,侧生羽片较小,长2~6.5cm,宽1~2.5cm,通常一对,偶有2对,近对生,略有短柄,仅背面叶脉有短柔毛,叶片干后褐色;叶脉网状,在侧脉间形成2行整齐的网眼。孢子囊群幼时圆形,生于小脉上,成熟时满布于叶背;无囊群盖。

(图见《中药大辞典》.下册.2123页.4347条图)

生境与分布 生于海拔20~1500m的林下溪谷边或路旁。分布于福建、台湾、广东、广西、云南。

。【化学】:

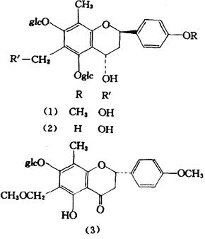
含新黄酮甙三羽新月蕨甙(Triphyllin)A[即(2R,4S)-5,7-Di-β-glucosyloxy-6-hydroxymethyl-4′-methoxy-8-methyl-flavan-4-ol](1),Triphyllin B[即(2R,4S)-5,7-Di-β-D-glucosyloxy-4′-hydroxy-6-hydroxymethyl-8-met-hylflavan-4-ol](2)和TriphyllinC[即(2S)-7-β-D-Glucosyloxy-5-hydroxy-4′-methoxy-6-methoxymethyl-8-methylflavanone](3)。

参考文献 Chem Pharm Bull 1985;33(12)∶5231

【药性】:

性味 苦、辛,平。

❶ 《全国中草药汇编》:“微甘、辛,平。”
❷ 《广东中药》:“微涩,平。”
❸ 《广东中草药》:“微苦、辛,平。”

功效 解毒,消肿,清热,化痰,止痒。

主治 疮痈肿毒,跌打损伤,水肿,湿疹,皮肤瘙痒。 ❶ 《全国中草药汇编》:“治毒蛇咬伤,跌打损伤,湿疹,皮炎,痈疮疖肿,急、慢性支气管炎。”
❷ 《广东中药》:“治痈肿疮毒,疮疖,皮肤瘙痒,反胃,水肿。”

用法用量 内服:煎汤,4.5~9g(鲜品30~60g)。

外用:研末调敷。

。【临床应用】:

单方应用 ❶ 《广西本草选编》:“治跌打肿痛,毒蛇咬伤,疮疖肿毒,湿疹:鲜蛇退步全草9~15g,水煎服;并用鲜全草捣烂外敷患处(毒蛇咬伤敷伤口周围)。”
❷ 《广西本草选编》:“治急、慢性气管炎:蛇退步全草9~15g,水煎服。”
❸ 广州空军《常用中草药手册》:“治毒蛇咬伤,湿疹,皮炎,气管炎:蛇退步9~15g(鲜品30g),水煎服,或鲜品捣烂外敷。”

随便看

 

离鸟网收录3541549条中英文词条,其功能与新华字典、现代汉语词典、牛津高阶英汉词典等各类中英文词典类似,基本涵盖了全部常用中英文字词句的读音、释义及用法,是语言学习和写作的有利工具。

 

Copyright © 2004-2024 vtrois.com All Rights Reserved
更新时间:2026/4/19 2:58:13