网站首页  词典首页


请输入您要查询的字词:

 

字词 蛇地钱
类别 中英文字词句释义及详细解析
释义 蛇地钱

【名称出处】:江西《草药手册》

【概况】:

基源 为蛇苔科蛇苔属植物蛇苔的全株。

原植物 蛇苔Conocephalum conicum(L.)Dumortiier

形态 植物体呈叶状,革质,深绿色并有光泽,多回二叉分枝,长5~10cm,宽1~2cm。背面有明显的六角形或菱形气室。每室中央有一个单一型气孔,气室内有多数直立的营养丝,顶端细胞长梨形,基部粗,有细长尖。

腹面浅绿色,有假根,两侧各有1列深紫色鳞片。

雌雄异株。雄托呈圆盘状,紫色,无柄,贴生于叶状体背面。

雌托呈圆锥形,褐黄色;有无色透明的长柄,长3~5cm,著生于叶状体背面先端;托下面著生5~8个总苞,每苞内具1个梨形、有短柄的孢蒴。(图见《中国高等植物图鉴》.第1册.25页.图50)

生境与分布 生于溪边、河边湿土及林下阴湿碎石和土上。分布于中国各地。

欧洲、北美、亚洲中部及东部其他地区也有。

。【化学】:

含蛇苔内酯C、蛇苔内酯D、8α-乙酰氧基蛇苔内酯C、8α-乙酰氧基蛇苔内酯D、郁金香内酯、肋苔内酯[1]

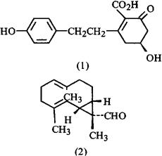
芸苔甾醇(Campesterol)、22-二氢菜子甾醇(22-Dihydrobrassicasterol)、谷甾醇、γ-谷甾醇、豆甾醇、胆甾醇、24-甲基-5,22-胆甾二烯醇(24-Methyl-5,22-cholestadienol)、24-甲基-5,7,22-胆甾三烯醇(24-Methyl-5,7,22-cholestatrienol)[2]。半月苔酸(Lunularic acid)[3]、脱落酸(Abscisic acid)[4]、前半月苔酸(Prelunularicacid)(1)(悬浮培养细胞中提得)[5]、双环吉马烯-13-醛(Bicyclogermacren-13-al)(2)[6]、芹黄素-7-O-β-D-葡萄糖醛酸甙、芹黄素-4′-O-β-D-葡萄糖醛酸甙、木犀草素-3′-O-β-D-葡萄糖醛酸甙、木犀草素-7-O-β-D-葡萄糖醛酸甙[7]、类胡萝卜素[8]、淀粉和大量葡萄糖、果糖、蔗糖[9]

参考文献 [1] 江苏省植物研究所等.新华本草纲要.第3册.上海科学技术出版社,1990∶765 [2] Phytochemistry 1985;24(2)∶263 [3] Phytochemistry 1984;23(7)∶1379 [4] CA 1988;109∶70376v [5] Phytochemistry 1984;23(8)∶1607 [6] Phytochemistry 1988;27(10)∶3317 [7] CA 1985;103∶138525b [8] CA 1985;103∶19878j [9] 江苏新医学院.中药大辞典.下册.上海人民出版社,1977∶2119

。【药性】:

性味 ❶ 《中药大辞典》:“微甘、辛,寒。”
❷ 《新华本草纲要》:“全草:味甘、辛,性寒。”

功效 清热解毒,消肿止痛。

主治 毒蛇咬伤,疔疮背痈,烧伤烫伤,无名肿毒,外伤骨折。

用法用量 外用:适量,捣烂敷患处,或晒干研粉,用植物油调敷患处。

使用注意 局部不红不热的阴疽,勿用。

。【临床应用】:

方选和验方 ❶ 《江西草药手册》:“治无名肿毒:鲜蛇地钱、鲜犁头草、鲜腐婢叶各等份,甜酒少许,捣烂外敷。”
❷ 《安徽中草药》:“治疔疮,痈肿初起:蛇地钱焙干研末,加砂糖和桐油各适量,调匀外敷。”

单方应用 ❶ 《浙江药用植物志》:“治婴儿湿疹:蛇地钱全草,晒干,炒炭研成细粉。以植物油调敷患处。”
❷ 《贵州中草药名录》治跌打损伤疼痛:蛇地钱捣烂敷伤处。”
❸ 《江西草药手册》:“治烫伤,老疮:蛇地钱焙干,研细末,茶油调敷患处。”
❹ 《安徽中草药》:“治蛇咬伤,骨折(正复后):鲜蛇地钱捣烂外敷。”

随便看

 

离鸟网收录3541549条中英文词条,其功能与新华字典、现代汉语词典、牛津高阶英汉词典等各类中英文词典类似,基本涵盖了全部常用中英文字词句的读音、释义及用法,是语言学习和写作的有利工具。

 

Copyright © 2004-2024 vtrois.com All Rights Reserved
更新时间:2026/4/20 0:09:59