网站首页  词典首页


请输入您要查询的字词:

 

字词 藜芦
类别 中英文字词句释义及详细解析
释义 藜芦

【名称出处】:《本经》

【概况】:

异名 黑藜芦(通称),山葱(河北、山东、山西),人头发(四川)。

基源 为百合科藜芦属植物藜芦、毛穗藜芦、天目藜芦、毛叶藜芦、兴安藜芦的干燥根及根状茎。

原植物 以藜芦作中药的有5种植物,其中藜芦Veratrum nigrum L.[V.nigrum L.var.ussuriense Loes.f.;V,nigrum L.var.microcarpum Loes.f.;V.ussuriense(Loes.f.)Nakai]大部分地区均产,应用较为普遍。

其它4种分别在产地或民间亦作藜芦入药。毛穗藜芦Weratrum maackii Regel(V.mandschuricum Loes.f.;V.oblongum Loes.f.)在东北及山东作藜芦入药。天目藜芦Veratrum schindleri Loes.f.(V.cavaleriei Loes.f.;V.maximowiczii auct.non Baker),又名邢氏藜芦(《中药志》),牯岭藜芦(《中国植物志》),在民间药用。毛叶藜芦Veratrum grandiflorum Loes.f.(V.puberulum Loes.f.),又名算藜芦(《中药志》)和兴安藜芦Veratrum dahuricum(Turcz.)Loes.f.(V.album L.var.dahuricum Turcz.)分别在当地作藜芦药用。

历史 《本经》始载之。《纲目》载入草部,毒草类。

宋《图经本草》云:“今陕西山南东西州群皆有之。辽州(今山西阳县)、均州(今湖北均县)、解州(今山西解县)者尤佳。三月生苗。叶青,似初出棕心;又似车前。

茎似葱白,青紫色,高5、6寸,上有黑皮裹茎,似棕皮。有花肉红色(与今日黑紫色的花不符)。

根似马肠根,长4、5寸许,黄白色,2、3月采根,阴干。所说即本种。

但古时混称“鹿葱”,这是不恰当的,鹿葱应是萱草的别名。

形态 多年生草本,高60~100cm。

根状茎短圆柱形,具多数细长的须根,肉质,外皮黄白色。茎直立,基部有黑褐色棕毛状的叶柄残基。

叶互生、近无柄;叶阔椭圆形,至卵状披针形,长达30cm,宽达10cm,先端渐尖,基部渐狭,下延成鞘状抱茎,上面青绿色,下面灰绿色,有强脉而具折。

圆锥花序顶生,花序轴密披灰白色绵毛;花小、杂性,雄花通常生于花序轴下部,两性花常在上部以上;花被6片,黑紫色,开展或稍下反;雄蕊6,与花被片对生,花药肾形,背著,合生为1室,子房近方形,花柱3,3室,胚珠多数。蒴果长1.5~2cm;种子具翅。花期7~8月,果期9月。

(图见《中药志》.第2册.第2版.彩图32)

生境与分布 生于海拔1200~3300m山谷、山地阴坡或灌木林下。分布于中国东北、河北、河南、山东、山西、内蒙古、江西、湖北、陕西、甘肃、新疆、四川。

亚洲北部或欧洲中部也有分布。

毛穗藜芦与藜芦的主要区别在于:叶长倒披针形,长20~40cm,宽2~6cm,基部狭窄具短柄;圆柱花序疏生较短的侧生花序,侧生花序上的花梗明显短于主轴上的花梗。

花果期7~9月。(图见《中药志》.第2册.第2版.582页.图436)生于海拔400~1700m的山地林下或高山草甸。

分布于中国东北、内蒙古和山东。朝鲜、日本和原苏联西伯利亚东部也有分布。

天目藜芦与藜芦、毛穗藜芦的主要区别为:基生叶长椭圆形或披针形,长达36cm,宽2~6cm,基部渐狭成长柄状,下连叶鞘;茎生叶披针形,无柄;花被褐绿色至褐黑色,小花梗纤细,长5~10mm。

花果期6~10月。

(图见《中国植物志》.第14卷.22页.图版2∶5~8)生于海拔700~1350m的山坡林下荫湿处。分布于江西、江苏、浙江、安徽、湖南、湖北、广东、广西和福建。

毛叶藜芦与藜芦,毛穗藜芦、天目藜芦的主要区别为:包裹茎基部的叶鞘只具平行纵脉,无横脉,枯死后残留为纵的纤维束;基部叶矩圆形至矩状椭圆形,长达20cm,宽达10cm;茎上的叶由下而上渐小,广卵形,卵状披针形至线状披针形;花被绿白色或黄绿色,边缘有明显的啮蚀状牙齿。子房密生绵状毛。

花果期7~8月。

(图见《中国植物志》.第14卷.25页.图版3∶1~5)生于海拔2600~4000m的山坡林下或湿生草丛中。

分布于中国江西、浙江、台湾、湖南、湖北、四川和云南。

兴安藜芦与以上4种藜芦的主要区别为:包裹茎基部的叶鞘只有平行纵脉,无横脉,枯死后残留为纵的纤维束;叶背面被银白色绒毛。

花期6~8月。(图见《中药志》.第2册.第2版.582页.图435)生于草甸和山坡湿草地。

分布于中国辽宁、吉林、黑龙江。朝鲜和原苏联西伯利亚也有。。【生药】:

栽培 宜冷凉而较阴湿的环境,对土壤选择不严,但以湿润、肥沃的壤土为好。

用种子繁殖,育苗移栽。10月中、下旬采收成熟种子后播种,按行距22~25cm划行条播,深2~3cm,将种子和草木灰拌混后匀撒沟中,每亩用种量1~1.5kg。

播后覆薄土稍加镇压。出苗后,注意中耕除草、匀苗和肥水管理。

第2年冬初倒苗后移栽,按行距22~26cm开3~5cm深的条沟,以株距7~10cm栽种。栽后,每年结合中耕除草,追肥2次。

春季出苗或返青后,施人畜粪水1次;冬季倒苗后,施堆肥、厩肥或草木灰1次。

采集 5~6月末抽花茎前采挖根部或连同少部分根状茎,除去地上部分的茎叶,洗净,晒干。

或挖取全草,除去泥土,晒干。中国大部分地区均产。

鉴别

性状 藜芦茎基部常呈圆柱状,外层叶鞘为黑色的网状纤维束;与根茎接触部收狭。根茎圆柱形或圆锥形,长1~4cm,直径0.7~3cm,表面棕褐色,棕黄色或土黄色,根茎上生有可达30多条须根。

须根细长,弯曲,完整者长10~20cm,直径1~5mm;表面黄褐色或灰褐色,上端具横皱纹及纵皱纹。质坚脆,易折断;断面白色,皮有腔隙,中心为淡黄色中柱,常与皮部分离。

气微,味极苦,粉末有催嚏性。

毛叶藜芦与藜芦相比,外层叶鞘为非网状的纤维束。

根茎多呈圆锥形,少呈圆柱形,直径可达6cm。须根数目可达数百条,常交织在一起,完整者长可达30cm,直径1~7mm。

兴安藜芦与藜芦相比,药材常较大,根茎直径可达7cm。茎基部呈圆锥状,外层叶鞘为土褐色、非网状的纤维束。

根茎上密生众多须根,常多达百条至数百条,纵横交织在一起。

天目藜芦茎基呈圆柱状,叶鞘外层呈不透明的鳞片状,具棕褐色的网状纤维束。纤维束粗而硬,故凸起。根茎圆柱状,少见圆锥形,直径1.2~3cm,根茎下部常无须根或具稀疏须根,根皮部常脱落而残留有细而坚硬的中柱。

毛穗藜芦与天目藜芦相比,较小,根茎直径0.6~1.5cm。茎基部呈圆柱状,具棕褐色的网状纤维束,纤维束稀而软,故凹陷于叶鞘表面中。

显微 藜芦根横切面:表皮细胞略径向延长,外壁稍厚。下皮为2~3列类圆形细胞。

皮层占根的大部分,靠外有腔隙,薄壁细胞含草酸钙针晶束,并含淀粉粒,针晶长约60μm。内皮层明显,内壁及侧壁增厚。

中柱初生木质部13~14原型。韧皮部束位于木质部弧角间。中央髓部较小。根状茎横切面:最外为黑褐色的后生皮层,约3~4列细胞。皮层约占半径的1/3,有周木型叶迹维管束散在。内皮层细胞内壁及侧壁增厚。

中柱有多数维管束散在,近内皮层处较密,多为外韧型,内部者多为周木型,尚可见自中柱鞘发生的根迹组织。(图见《中药志》.第2册.第2版.第579、580页.图429、430)

理化 取藜芦粉末1g用适量氨水湿润后,以氯仿10ml冷浸24小时,滤过,制备成样品液。以原藜芦碱A、B作为对照品。吸附剂为硅胶G。

展开剂为苯-氯仿-异丙醇(8∶8∶2),氨水装于小容器内,置层析缸中,展距17cm。展层后取出,用改良碘化铋钾-碘碘化钾试剂(1∶1)为显色剂,样品液与标准品液在相应位置上有相同颜色的斑点。

(图见《中药志》.第2册.第2版.第580页.图431)

贮藏 置阴凉干燥处。。【化学】:

藜芦属植物有30余种,中国有20余种,其根茎药用,主含生物碱。

1984年统计已分得70多种生物碱,大体上按其基本骨架,可分为异甾和胆甾型两大类,已综述介绍[1]。现将主要品种成分介绍如下:

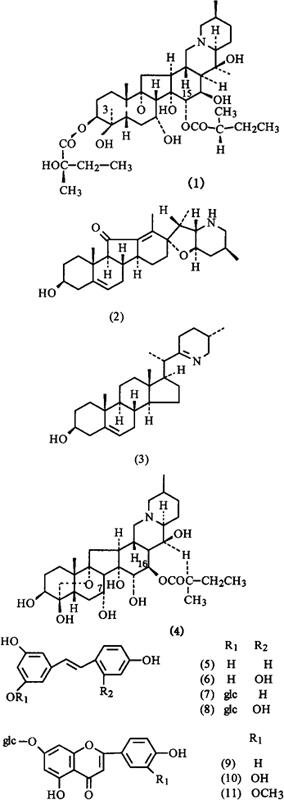
藜芦(Veratrum nigrum L.)含藜芦辛碱(Verazine)(3)、藜芦梅因碱(Veramarine)、原藜芦碱甲(Protoveratrine A)、双脱乙酰基原藜芦碱甲(Dideacetyl protoveratrine A)、计米定碱(Germidine)[2]、藜芦酰棋盘花碱(Veratroyl-zygadenine)[3]、脱乙酰基原藜芦碱甲(Deacetyl protoveratrine A)[4],红介芬碱(Rubijervine)、异红介芬碱(Isorubijervine)、藜芦明(Veramine)[5]、计莫林碱(Germerine)(1)、介芬碱(Jervine)(2)、新计木布定(Neogermbudine)、15-O-(2-甲基丁酰基)计明碱[15-O-(2-Methylbutyroyl)germine]、藜芦苏因宁碱(Verussurinine)(4)[6]、刺孢霉碱*(Echinuline)[7]

另曾从黑藜芦中分得生物碱A、B、C、D、(Alkamine A、B、C、D)[27]

毛穗藜芦[Vertrum maackii Regel]含藜芦嗪、当归酰棋盘花胺(Angeloylzygadenine)[8]、毛穗藜芦胺(Maackinine)、计吗尼特林碱(Germanitrine)、棋盘花胺(Zygadenine)、藜芦生宁(Verazinin)[9]

天目藜芦[V.schindleri Lose.f.]根含天目藜芦碱(Tiemulilumine)、天目藜芦宁碱(Tiemulil-uminine)[10]。 兴安藜芦(Veratrum dahuricum Loes.f.)含介芬碱、假介芬碱(Pseudojervine)、藜芦胺(Veratramine)、藜芦托生碱(Veratrosine)、藜芦辛碱[11]、原藜芦因(Protoverine) 计明碱(Germine)、玉红介芬碱、藜芦胺碱、藜芦酰棋盘花碱、异玉红介芬碱、藜芦明[12]。 小藜芦[Veratrum mengtzeanum Loes.f.]须根含藜芦胺、藜芦胺N-氧化物(Veratramine N-oxide)、藜芦米林(Veramiline)、3,15-二当归酰基计明碱(3,15-Diangloyl-germine)、3-当归酰基计明碱(3-Angeloyl-jermine)、龙葵胺(即茄胺;Solanidine)、β-谷甾醇、β-谷甾醇硬脂酸酯、胡萝卜甙、蜡醇、硬脂酸[13]。 毛叶藜芦[Veratrum grandiflorum(Maxim.)Loes.f.]含藜芦胺、红介芬碱、茄胺、β-谷甾醇、11-去氧介芬碱(11-Deoxojervine)[14]、棋盘花辛碱(Zygacine)[15]、棋盘花酸δ-内酯-16-当归酸酯(Zygadentic acid δ-lactone-16-angelate)[16]、Veralosidine(即Etioline)[17]、Shinonomenine、Procevine[18]、Baikeine、Baikeidine[19]、Veratrene[20]、Dormantinone、Dormantinol[21,22]、Hakurirodine[23]、Hosukinidine、表红介芬碱(Epirubijervine)[24]、坦尼明碱(Teinemine)、异坦尼明碱(Isoteinemine)[25]、Veraflorizine[8,18]、叶含白藜芦醇(Resveratrol)(5)、羟基白藜芦醇(Oxyresveratrol)(6)、白藜芦醇-3-0-葡萄糖甙(Resveratrol-3-0-glucoside,即Piceid)(7)、羟基白藜芦醇-3-0-葡萄糖甙(Oxyresveratrol-3-0-glucoside)(8)、芹菜素-7-0-葡萄糖甙(Apigenin-7-0-glucoside)(9)、木犀草素-7-0-葡萄糖甙(Luteolin-7-0-glucoside)(10)、金圣草酚-7-0-葡萄糖甙(Chrysoeriol-7-0-glucoside)(11)[26]

狭叶藜芦(Veratrum stenphyllum Diels)含β-谷甾醇、木蜡酸、胡萝卜甙、藜芦酰棋盘花胺、当归酰棋盘花胺(Angeloylzygadenine)、棋盘花胺(Zygadenine)、β1-查茄碱(β1-Chaconine)、介藜芦胺(即介芬碱Jervine)、Etioline、狭叶藜芦碱甲[28,29]、乙[28]、丙、丁[30](Stenophylline A、B、C、D)。

参考文献 [1] 药学学报,1984;19(4):309~320 [2] Khim,Prir Soedin 1979;(3):412 [3] CA 1980;92:72733P(Chem.Zvesti.1979;33(4),547-9) [4] Khim Prir Soedin,1979;(1):105 [5] Khim Prir Soedin,1981;(4):527 [6] Chem Phar Bull 1991;39(3):549 [7] 中国中药杂志 1991;16(7):425 [8] 中药通报 1986;11(5):294,1987;12(1):34 [9] Chem.Pharm.Bull.1989;37(11):2920 [10] 化学学报 1956;22(4):299 [11] Khim Prir Soedtn 1980;(1):131 [12] Khim Prir.Soedin 1984;(6):801-2 [13] 云南植物研究 1987;9(3):359 [14] Bull Chem Soc Japan 1965;38(8):1374 [15] 药学杂志 1979;99:615 [16] Chem.Pharm.Bull.1962;10(6):519 [17] Tetrahedron Lett.1971;4251 [18] Tetrahedron Lett.1978;4801 [19] Tetrahedron Lett.1972;2961 [20] Chem.Lett.1974;1477 [21] Phytochemistry,1973;12(6):1509 [22] Phytochemistry,1977;16(8):1247 [23] Phytochemistry,1975;14:1295 [24] Chem.Pharm.Bull.1979;27:2534 [25] Phytochemistry,1977;16(10):1620 [26] Phytochemistry,1992;31(9):3005 [27] 兰州大学学报(自然科学版) 1981;(1):80 [28] 药学学报 1984;19(2):131 [29] 药学学报 1984;19(3):190 [30] 药学学报 1984;19(6):431。【药理】:

❶ 降压作用 给麻醉猫iv天目藜芦碱乙0.45~0.6mg/kg,麻醉狗iv国产藜芦50~150mg/kg均能使血压降低,降压时伴有心跳变慢呼吸暂停,即Bezold效应的表现。

在降压过程中颈动脉窦加压反射被抑制,无快速耐受现象。从甲状腺动脉给麻醉猫注射天目藜芦碱乙30~50μg/kg略有降压,剂量增大为80~400μg/kg,则转变为明显升压现象[1,2]。云南产蒙自藜芦(V.mengtzeanum Loes.)给麻醉猫iv 0.1g/kg后,血压立即下降,维持时间在1~2小时以上。

反复给药无快速耐受现象[3]

给麻醉猫iv马氏藜芦碱(得自马氏藜芦(毛穗藜芦)V.maackii Regel.)5~25μg/kg、毛叶藜芦碱(得自毛叶藜芦V.puberulum Loes.f.)25μg/kg、邢氏藜芦碱(得自邢氏藜芦V.Schindler Loes.f.)50μg/kg能使血压降低,降压时伴有心率减慢,呼吸抑制或暂停。im10倍于iv降压量,po15倍于iv降压量有降压作用,可维持2~3小时。舌下动脉给药,或结扎颈内、外动脉从甲状腺上动脉给药,马氏藜芦碱1μg/kg,毛叶藜芦碱2μg/kg,邢氏藜芦碱5μg/kg,均可引起血压下降。量大时(马氏碱75~200μg/kg,毛叶碱200μg/kg,邢氏碱400μg/kg)引起明显的恶心呕吐,预先应用氯丙嗪可防止此反应[4]

给麻醉兔iv乌苏里藜芦(V.nigrum Linn.Var.ussuriense Nakai)混合碱2~5μg/kg,血压立即下降。两侧迷走神经切断对降压作用没有影响,切断两侧窦神经,小量(1~2μg/kg)引起血压升高,而大量(5~10μg/kg则主要引起血压下降[5]

从日本产藜芦(毛叶藜芦)(V.grandiflorum Leos.fil.)根内提出的生物碱5~10μg/kg iv于正常家兔,不产生心脏和呼吸障碍,但使血压下降并持续很长时间。在20μg/kg以上则出现心脏障碍,至100~200μg/kg大量的iv,则相反地引起血压上升[6]

贵州产普安藜芦(V.nigrum Linn.)根初提液给麻醉狗iv1~2.5mg/kg,im 5mg/kg,麻醉猴iv 2~4mg/kg,家兔ig 300mg/kg,均

产生明显的降压作用和心率减慢作用,并伴有呼吸短时抑制现象[7]

云南产蒙自藜芦的降压机制主要是作用于颈动脉窦及心肺感受区反射性地引起血压下降。该药对中枢有兴奋作用,对血管无直接作用,并不具抗肾上腺素的作用[3]。天目藜芦碱的降压作用与迷走神经传入纤维有关系,而与传出纤维无关[1]。国产藜芦碱的降压作用与肾上腺素、去甲肾上腺素无关,而与迷走神经、毒蕈碱胆碱反应系统有关[4]。在保留窦神经的麻醉动物,小剂量乌苏里藜芦混合碱的降压作用,主要是通过兴奋颈动脉窦区所致血管运动中枢的反射性抑制,而大剂量很可能对血管运动中枢也有直接抑制作用[5]

毛穗藜芦碱的降压作用中,脑和肾血管舒张起一定的作用,但作用短暂[8]
❷ 其他作用 黑藜芦(V.nigrurn Linn.)鳞茎的米汤或清水浸出液,对家蝇有强大的毒杀效力[9]

百合科萱草属的“藜芦”对小白鼠感染日本血吸虫病有肯定的杀灭作用[10]

而天目藜芦对感染日本血吸虫的小鼠无明显的治疗作用[11]。藜芦水漫剂在试管内对堇色毛癣菌、同心性毛癣菌、许兰氏黄癣菌、奥杜盎氏小芽胞癣菌、铁锈色小芽胞癣菌、羊毛状小芽胞癣菌、腹股沟表皮癣菌、星形奴卡氏菌等皮肤真菌均有不同程度的抑制作用[12]

毒性 小白鼠sc或iv时,天目藜芦碱的LD50分别为26和3.2mg/kg[1]

蒙自藜芦给小鼠po之LD50为20g/kg[3]。小白鼠po生藜芦1.8g/kg,即有死亡可能,量增至3.6g/kg时,死亡率为60%,注射1%藜芦液0.5ml时,15min内动物全部死亡。猫po藜芦0.66g/kg,即有死亡可能,1.39g/kg,可有半数死亡[13]

临床上常见误服藜芦引起中毒、甚至死亡的报道。其主要中毒症状为:头昏头痛、恶心、呕吐、四肢麻木、瞳孔散大、血压下降、心率缓慢、心律不齐、房室传导阻滞,甚至呼吸抑制而死亡[14-18]。抢救药物以拟交感胺类如麻黄碱、苯甲麻黄碱和阿托品等(肾上腺素不能用)效果较好[17]

参考文献 [1] 生理学报 1958;22(1):71 [2] 生理学报 1956;20(4):233 [3] 药学学报 1963;10(11):668 [4] 药学学报 1962;9(10):591 [5] 生理学报 1966;29(1):57 [6] 药学通报 1955;3(4):182 [7] 贵阳医学院学报 1958;(1):17 [8] 生理学报 1960;24(3~4):261 [9] 科学 1949;31(6):188 [10] 人民保健 1959;(2):155 [11] 上海中医学院.科学研究论文汇编.第4集,1961:297 [12] 中华皮肤科杂志 1957;(4):286 [13] 江苏中医 1962;(11):5 [14] 重庆医药 1981;(6):61 [15] 江西中医药 1990;21(6):32 [16] 湖南医药杂志 1981;(3):46 [17] 四川医学 1982;3(3):162 [18] 中药通报 1988;13(9):52。【药性】:

性味 苦、辛,寒。

有毒。 ❶ 《本经》:“味辛,寒。”
❷ 《别录》:“苦,微寒。有毒。

归经 ❶ 《本草经疏》:“入手太阴、足阳明经。”
❷ 《本草再新》:“入肝经。”

功效 吐风痰,杀虫毒。

主治 中风痰涌,风痫癫疾,黄疸,久疟,泄痢,头痛,喉痹,鼻瘜,疥癣恶疮。

❶ 《本经》:“主蛊毒,咳逆,泄痢,肠癖,恶疮,杀诸虫毒,去死肌。”
❷ 《别录》:“疗哕逆,喉痹不通,鼻中瘜肉,马刀,烂疮。”
❸ 《药性论》:“主上气,去积年脓血泄痢。治恶风疮,疥癣,头秃,杀虫。


❹ 《本草图经》:“大吐上膈风涎,暗风痫病……。用钱匕一字则恶吐人,又用通顶,令人嚏。”
❺ 《四川武隆药用植物图志》:“治毒蛇咬伤及杀虫用。”

用法用量 内服:研末,0.3~0.6g,或入丸剂。

外用:研末,鼻或调敷。

使用注意 体虚体弱及孕妇忌服。

❶ 《本草经集注》:“黄连为之使;反细辛、芍药、五参,恶大黄。”
❷ 《纲目》:“畏葱白。服之吐不止,饮葱汤即止。


❸ 《本草从新》:“服之令人烦闷吐逆,大损津液,虚者慎之。”。【临床应用】:

方选和验方 ❶ 陈抃《经验方》:“治诸风痰饮:藜芦10份,郁金1份,共为末匀,每用0.5g,温浆水200ml和服,探吐。”
❷ 陈氏《经验后方》:“治中风不语,喉中如曳锯,口中涎沫:藜芦0.4g,天南星1个(去浮皮,脐上剜1孔,纳陈醋50ml,四面火逼呈黄色,研为末)两末和匀,生面和丸,小豆大,每服3丸,温酒下。”
❸ 《肘后方》:“治痰疟、老疟久不断者:藜芦、皂荚各14g(炙),巴豆25枚(熬黄研末),蜜丸小豆大。空心服1丸,未发时服1丸,临发时又服1丸。

勿进饮食。”
❹ 《肘后方》:“治腹中冷癖,水谷瘾结,心下停痰,两胁痞满,按之鸣转,逆害饮食:巴豆30枚(去心),杏仁20枚(并熬),桔梗1g,藜芦5.6g,皂荚5g(均炙)共为末,蜜和丸,如胡豆大。未食进1丸,日2次。取瘥。”
❺ 通顶散(《圣济总录》)治头痛,鼻塞,脑闷:藜芦(研)18.7g,黄连(去须)1.2g,共研为末和匀,每用少许,入鼻中。

❻ 《圣惠方》:“治鼻中息肉:藜芦1.2g,雄黄0.4g共为末匀,蜜和,点息肉上,每日3次。勿点两畔。


❼ 藜芦散(《圣惠方》)治疮,经久则生虫:藜芦(去芦头)、白矾(烧、细研)、松脂(细研)、雄黄(细研)、苦参各75g,先捣藜芦、苦参为末,加猪脂600g,煎10余沸,绵滤去滓,入松脂、雄黄、白矾等末,搅令匀,待冷,瓷合中存。用时取涂患处,以瘥为度。

❽ 隐居效方(《葛洪肘后备急方》)消痈肿:白敛2份,藜芦1份为末,酒和如泥,贴患处,日三。
❾ 《肘后方》:“治白秃:末藜芦,以腊月猪膏和涂之。”

单方应用 ❶ 《肘后方》:“治黄疸肿疾:藜芦,灰中炮之,令小变色,捣筛为末,每服1g。当小吐。

不过数服。”
❷ 《素问病机气宜保命集》:“治久疟,痰多,欲吐不吐:藜芦(末)1.8g,温水调下,探吐。


❸ 《普济本事方》:“治夜游风,头风白屑,痒甚:藜芦末,沐头掺之紧包2日夜。”
❹ 《千金翼方》:“治牙齿虫痛:藜芦末,内入虫牙孔中,勿咽汁。”
❺ 《仁斋直指方》:“治头生虮虱:藜芦末掺之。”
❻ 《斗门方》:“治疥癣虫疮:藜芦末生油和涂。”
❼ 《圣惠方》:“治身面黑痣:藜芦灰187g,水300ml,淋汁,铜器重汤者成黑膏。用时以针微刺破痣,点上膏。

不过3次。”
❽ 陕西省中草药简报 1970;(6):“治疟疾:天目藜芦3cm长3根,插入鸡蛋内,烧熟,去药吃蛋。发作前1~2小时服,忌鱼腥。”。

【医药家论述】:

❶ 李时珍:“哕逆用吐药,亦反胃用吐法,去痰积之义。吐药不一,常山吐疟痰,瓜丁吐热痰,乌附尖吐湿痰,莱菔子吐气痰,藜芦则吐风痰也。”“畏葱白……吐不止饮葱汤即止。”
❷ 缪希雍《本草经疏》:“藜芦《本经》主蛊毒,咳逆,《别录》疗哕逆,喉痹不通者,皆取其宣壅导滞之力。苦为涌剂,故能使邪气痰热,胸膈部分之病悉皆吐出也。辛能散结,故主鼻中息肉。苦能泄热杀虫,故主泄痢肠癖,头疡,疥瘙,杀诸虫毒也。……味至苦,入口即吐,故不入汤。”“藜芦辛苦有大毒,服约2g则令人胸中烦闷,吐逆不止。”

随便看

 

离鸟网收录3541549条中英文词条,其功能与新华字典、现代汉语词典、牛津高阶英汉词典等各类中英文词典类似,基本涵盖了全部常用中英文字词句的读音、释义及用法,是语言学习和写作的有利工具。

 

Copyright © 2004-2024 vtrois.com All Rights Reserved
更新时间:2026/4/21 7:56:23