网站首页  词典首页


请输入您要查询的字词:

 

字词 蓄能器的容积计算
类别 中英文字词句释义及详细解析
释义 蓄能器的容积计算

蓄能器的容积是指气腔与液控的容积之和。对于气囊式蓄能器为充气容积。

(1)作储能用时的容积计算

A.有效排油量△V的计算

蓄能器在作储能用时,是与油泵一起供油,因而需要蓄能器排出的有效油量应按下式计算

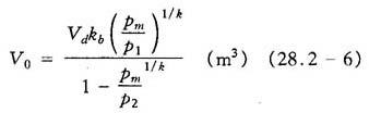
(4)消除液压泵脉动降低噪声的蓄能器容积V0的计算

这种蓄能器在一个脉动周期内,吸收瞬时流量高于平均流量的部分,而当瞬时流量低于平均流量时,又将其吸收的流量全部排出。在这个过程中蓄能器来不及与外界进行热交换,故可认为是绝热过程,可按式(28.2-3)来计算。

实际应用一般按以下经验公式计算

式中 Vd——泵单缸排量(m3);

p1、p2——蓄能量最低、最高压力;

pm——平均压力,

kb——指数,单缸单作用泵:0.6

单缸双作用泵:0.25

双缸单作用泵:0.25

双缸双作用泵:0.15

三缸单作用泵:0.15

三缸双作用泵:0.06;

k——指数,对于氮气和空气k=1.4。

(5)作紧急动力源的蓄能器容积V0的计算

A.有效排油量△V

这种蓄能器的有效排油量应等于在泵站停止供油后,仍需供应执行元件的压力油的总量。

式中 k4——泄漏系数,可取k4=1.2

ΣVi——泵站停止供油后仍需供给执行机构压力油量的总和。

B.蓄能器总容积V0

这种蓄能器容积计算可根据实际情况,按其作用分别用式(28.2-2)(等温状态)和式(28.2-3)(绝热状态)计算。

(6)用于补偿热膨胀的蓄能器容积V0计算

A.有效排油量△V

这种蓄能器用于吸收当油温升高时,封闭回路液体膨胀而增加的容积;当油温降低时,封闭回路液体收缩而减少的容积,蓄能器需排出油液进行补充。其排油量△V按(28.2-8)式计算。

△V=Vα(t2-t1)(αv-3α) (28.2-8)

式中 Va——封闭回路中油液的总容积;

t1t2——系统的初始温度和最高(或最低)温度(K);

αv——液体的体积膨胀系数(K-1);

α——管子材料的线膨胀系数(K-1)。

B.蓄能器总容积计算

根据蓄能器工作状态按上述式(28.2-2)(等温状态)和式(28.2-3)(绝热状态)计算。

随便看

 

离鸟网收录3541549条中英文词条,其功能与新华字典、现代汉语词典、牛津高阶英汉词典等各类中英文词典类似,基本涵盖了全部常用中英文字词句的读音、释义及用法,是语言学习和写作的有利工具。

 

Copyright © 2004-2024 vtrois.com All Rights Reserved
更新时间:2026/4/17 16:18:48