蒿甲醚[部]
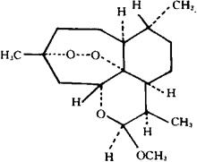
C16H26O5=298.38 CAS-71963-77-4 (3R,5aS,6R,8aS,9R,10S,12R,12aR)-十氢-10-甲氧基3,6,9-三甲基-3,12-环氧-12H-吡喃并[4,3-j]-1,2-苯并二氮杂 。 (3R,5as,6R,8aS,9R,10S,12R,12aR)-Decahydro10-methoxy-3,6,9-trimethyl-3,12-epoxy-12H-pyrano[4,3-j]-1,2-benzodioxepin. 10-β-甲基二氢青蒿素。 10-β-Methyl-dihydroartemisine. 抗疟药。用于恶性疟和抗氯喹恶性疟及凶险型疟。 青蒿醚。 Artemether,Artemethetine. 蒿甲醚油悬注射液。 INN,USAN,MI. 
|