网站首页  词典首页


请输入您要查询的字词:

 

字词 蒸球保温材料的保温比较计算及实例
类别 中英文字词句释义及详细解析
释义 蒸球保温材料的保温比较计算及实例

【说明】造纸厂蒸球保温材料主要是岩棉制品、普通硅酸铝耐火纤维制品,泡沫石棉制品、矿渣棉织品等。各种材料的性能及节能效果是不相同的,下面从热量损失及节能情况作以计算比较。

【公式及已知数据】

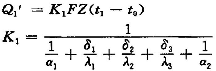
1.热损失计算:

Q=KFZ(t1-t0)

式中 Q——热量损失(kJ)

F——25m3蒸球外表面积,取41.85m2/台

Z——每日蒸球有效蒸煮时间,取15h/(台·d)

t1——蒸煮最高温度,取160C

t0——车间环境温度,取25C

K——总传热系数(kJ/(m2·h·C)

式中 α1——球内物料对球壁给热系数,取20934kJ/(m2·h·℃)

α2——保温结构外表面对空气给热系数,取36.72kJ/(m2·h·℃)

δ1、δ2、δ3——分别表示球壁厚度,保温层厚度和金属护壳厚度,其值分别取0.016、0.05、和0.001m

λ、λ3——钢的导热系数,取209.34kJ/m·h·℃)

λ2——保温层材料导热系数,见表1-2-29

表1-2-29 不同保温材料的导热系数

2.不同保温材料节约标煤比较计算

式中 G——保温层节约热能折合标煤量[t/(年·台)]

T′——年生产天数,取330天

Q——无保温结构时蒸球热损失[kJ/(d·台)]

Q′——有保温材料时蒸球热损失[kJ/(d·台)]

29307.6——标准煤发热量为29307.6kJ/kg(7000kca1/kg)

η——锅炉热效率,取60%

【计算结果及比较】

1.蒸球无保温结构时热量损失Q

式中 α2′——球壁外表面对空气的给热系数,取62.80kJ/(m2·h·℃)

2.蒸球有保温结构时的热量损失Q′

(1)岩棉制品作保温层时的热损失Q1

(2)其它保温材料作保温层时的热量损失计算

与岩棉制品作保温层时的计算方法相同,得其它保温材料作保温层时的热量损失如表1-2-30。

表1-2-30 不同保温材料作保温层时损失热量及节能情况比较

3.不同保温材料的节能效果比较计算以岩棉制品作保温层时,节标煤量为:

根据式1-2-96得:

同理,对以其它保温材料作保温层时,其节约热能折合标煤量见表1-2-30。

随便看

 

离鸟网收录3541549条中英文词条,其功能与新华字典、现代汉语词典、牛津高阶英汉词典等各类中英文词典类似,基本涵盖了全部常用中英文字词句的读音、释义及用法,是语言学习和写作的有利工具。

 

Copyright © 2004-2024 vtrois.com All Rights Reserved
更新时间:2026/4/18 22:40:51