网站首页  词典首页


请输入您要查询的字词:

 

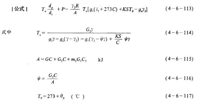
字词 蒸煮锅的压力调节特征方程
类别 中英文字词句释义及详细解析
释义 蒸煮锅的压力调节特征方程

R——气体常数

其它均同前

[讨论]时间常数Ta的符号可以是正值,也可以为负值。当Ta为正时,调节对象可以作为非周期环节来看待。当Ta为负时,蒸煮锅内压力将迅速增加,这种增加与蒸汽流量gi无关,而主要由特性方程式右边决定。在这种情况下,调节对象是不稳定的,并且自动调节压力是不可能的。

随便看

 

离鸟网收录3541549条中英文词条,其功能与新华字典、现代汉语词典、牛津高阶英汉词典等各类中英文词典类似,基本涵盖了全部常用中英文字词句的读音、释义及用法,是语言学习和写作的有利工具。

 

Copyright © 2004-2024 vtrois.com All Rights Reserved
更新时间:2026/4/18 4:46:31