网站首页  词典首页


请输入您要查询的字词:

 

字词 蒸煮蒸汽用量的计算及实例
类别 中英文字词句释义及详细解析
释义 蒸煮蒸汽用量的计算及实例

【说明】蒸汽用量取决于蒸煮液的初温、液比、得率、通汽方式和蒸煮初温。

【例】计算蒸煮1t风干浆,消耗于加热锅内容物的热量(不包括装锅时耗用的蒸汽)。

已知条件:

蒸煮锅:直径6.3m、高13.65m

净体积293m3

表面积269m2

钢板厚28mm

保温层厚60mm

锅体重70t

耐酸砖重95t

比热:木材1.424kJ/(kg·℃)

铁0.481kJ/(kg·℃)

蒸煮液和水4.1868kJ/(kg·℃)

耐酸砖0.837kJ/(kg·℃)

装锅量:绝干木片50t

木片水分50t/锅(汽装锅后)

送液190t

粗浆量:26.7t(10%水分)

粗浆得率:26.9×=48.2%

装锅后木片温度:50℃

蒸煮最高温度:134℃

通汽时间:4.5h

总时间:8.0h

计算项目及结果:

1.蒸煮耗热量的计算Q

❶ 加热木片用热量Q1

Q1=50×1000×1.424(134-50)=5978750(kJ/锅)

❷ 加热木片水分用热量Q2

Q2=50×1000×4.1868(134-50)=17584560(kJ/锅)

❸ 加热蒸煮液用热量Q3

Q3=190×1000×4.1868(134-50)=66821328(kJ/锅)

❹ 加热耐酸砖用热量Q4

Q4=95000×0.837(120-80)=3181968(kJ/锅)

❺ 加热锅体用热量Q(始温65℃,终温95℃)

Q5=70000×0.481(95-65)=1011112.2(kJ/锅)

❻ 加热保温材料用热量Q6

Q6=0

❼ 保温材料表面辐射热损失Q7

Q7=KA(t2-t1)T (1-3-121)

式中A——锅体保温材料表面积,274m2

t2——平均蒸煮温度,=92(℃)

t1——室内温度,20℃

T——放热时间,4.5h

K——总传热系数

a1——锅内液侧传热系数,12560.4kJ/(m2·h·C)

δ1——耐酸砖厚,0.18m

δ2——钢板厚,0.028m

δ3——保温层厚,0.06mm

λ1——耐酸砖导热系数,2.512kJ/(m·h·℃)

λ2——钢板导热系数,209.34kJ/(m·h·℃)

λ3——保温材料导热系数,0.628kJ/(m·h·℃)

α2——对流与辐射传热系数[kJ/(m2·h·℃)]

α212(1-3-122)

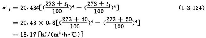
α1′——对流传热系数[kJ/(m2·h·℃)]=9.21=2.2

=19.34[kJ/m2·h·℃)] (1-3-123)

t3——保温材料表面温度,40℃

t4——室温,20℃

α2——辐射传热系数[kJ/m2·h·℃)]

ε——保温材料表面硅藻土黑度系数,取0.8

则α212=19.34+18.17=37.51[kJ/(m2·h·℃)]

❽ 小放汽损失Q8(取Q8为总汽量的5%)

Q8=(Q1+……+Q7

=5001859.4(kJ/锅)

则Q=Q1+Q2+Q3+Q4+Q5+Q6+Q7+Q8

=100038560(kJ/锅)

2.蒸汽用量的计算D

已知:蒸汽表压为490000Pa温度180℃

3.单位绝干木材耗热量Q1

随便看

 

离鸟网收录3541549条中英文词条,其功能与新华字典、现代汉语词典、牛津高阶英汉词典等各类中英文词典类似,基本涵盖了全部常用中英文字词句的读音、释义及用法,是语言学习和写作的有利工具。

 

Copyright © 2004-2024 vtrois.com All Rights Reserved
更新时间:2026/4/18 6:16:56