网站首页  词典首页


请输入您要查询的字词:

 

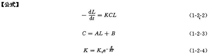
字词 蒸煮脱木素的动力学方程式
类别 中英文字词句释义及详细解析
释义 蒸煮脱木素的动力学方程式

1.一级反应式

2.二级反应式

式中 C——蒸煮液有效碱浓度(g/L)

A、B——常数

K0——频率因子,即参加反应分子的碰撞频率

E——反应活化能,即活化分子具有的最低能量与分子的平均能量之差,反应的活化能愈低,则在指定温度下活化分子越多(J/mo1)

R——气体常数,即8.32(J/mol·K)

T——绝对温度(K)

K=273+℃

℃——摄氏温度

e——自然对数的底

随便看

 

离鸟网收录3541549条中英文词条,其功能与新华字典、现代汉语词典、牛津高阶英汉词典等各类中英文词典类似,基本涵盖了全部常用中英文字词句的读音、释义及用法,是语言学习和写作的有利工具。

 

Copyright © 2004-2024 vtrois.com All Rights Reserved
更新时间:2026/4/20 14:54:25