网站首页  词典首页


请输入您要查询的字词:

 

字词 蒸汽或液体的混合计算
类别 中英文字词句释义及详细解析
释义 蒸汽或液体的混合计算

1.两种不同温度液体的直接混合

式中 G1,G2——两种液体量(公斤或公斤/小时)

C1,C2——两种液体的比热(千卡/公斤·℃)

t1,t2——两种液体混合前的温度(℃)

tK——两种液体混合后的温度(℃)

Qs——传热过程热损(为提温所需热量的3~10%)

或采用下式:

G1i1+G2i2+……=ΣG·iΣ

式中 i1,i2——液体的热焓(千卡/公斤)

2.蒸汽与液体直接混合

式中 D——蒸汽耗用量(公斤或公斤/小时)

G——液体量(公斤或公斤/小时)

i——蒸汽的热焓(千卡/公斤)

C——混入蒸汽凝结水后液体比热(千卡/公斤·℃)

t1——液体加热后温度(℃)

t2——液体加热前温度(℃)

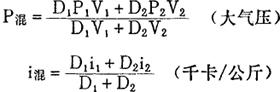
3.两种不同压力蒸汽的直接混合

混合汽的压力(P)及热焓(i)为

式中 D1,D2——两种蒸汽的数量(公斤)

V1,V2——两种蒸汽的比容(米3/公斤)

i1,i2——两种蒸汽热焓(千卡/公斤)

P1,P2——两种蒸汽的压力(大气压)

随便看

 

离鸟网收录3541549条中英文词条,其功能与新华字典、现代汉语词典、牛津高阶英汉词典等各类中英文词典类似,基本涵盖了全部常用中英文字词句的读音、释义及用法,是语言学习和写作的有利工具。

 

Copyright © 2004-2024 vtrois.com All Rights Reserved
更新时间:2026/4/21 19:12:43