网站首页  词典首页


请输入您要查询的字词:

 

字词 蒂尔评价法
类别 中英文字词句释义及详细解析
释义 蒂尔评价法

西方国家用于新产品开发的一种指数评价方法,是一种比较精确的评价方法。

它是把经济因素与决策论联合在一个四因素的模型中,多适用于特殊类型的产品开发。可用下式表示:

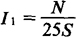
评价指数=I1×Ⅰ2×Ⅰ3×Ⅰ4

式中:I1为研究开发费用收益指数:

N为新产品生命期内提供净利润;

S为研究开发费用;Ⅰ2为固定资产收益指数;

A为固定资产;Ⅰ3为销售额增加指数:

b为新产品销售额;B为在新产品生命期内的公司销售总额;I4为市场占有率:

M为新产品的全部市场。

方案优选的标准是评价指数≥1。

否则,不予选取。

随便看

 

离鸟网收录3541549条中英文词条,其功能与新华字典、现代汉语词典、牛津高阶英汉词典等各类中英文词典类似,基本涵盖了全部常用中英文字词句的读音、释义及用法,是语言学习和写作的有利工具。

 

Copyright © 2004-2024 vtrois.com All Rights Reserved
更新时间:2026/4/18 14:42:26