网站首页  词典首页


请输入您要查询的字词:

 

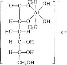
字词 葡铝酸钾
类别 中英文字词句释义及详细解析
释义 葡铝酸钾

C6H16AlKO11=330.27

CAS-23835-15-6

CAS-1317-30-2(replaced)

二水[葡糖酸根(2-)-O1O2]-二羟铝酸(1-)钾,(OC-6-44)。

Diaqua[gluconato(2-)O1,O2]-dihydroxya luminate(1-),potassium,(OC-6-44).

二水[葡萄糖根(2-)]二羟铝酸(1-)钾。

Potassium diaqual[gluconato(2-)]dihydroxyaluminate(1-).

制酸药。

Potassium Glucaldrate,McN-R-1162-22.

USAN.

随便看

 

离鸟网收录3541549条中英文词条,其功能与新华字典、现代汉语词典、牛津高阶英汉词典等各类中英文词典类似,基本涵盖了全部常用中英文字词句的读音、释义及用法,是语言学习和写作的有利工具。

 

Copyright © 2004-2024 vtrois.com All Rights Reserved
更新时间:2026/4/18 5:13:49