网站首页  词典首页


请输入您要查询的字词:

 

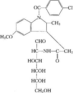
字词 葡美辛
类别 中英文字词句释义及详细解析
释义 葡美辛

C25H27C1N2O8=518.95

CAS-52443-21-7

2-[2-[1-(对-氯苯甲酰基)-5-甲氧-2-甲基吲哚-3-基]乙酰胺]-2-去氧-D-葡萄糖。

2-[2-[1-(p-Chlorobenzoyl)-5-methoxy-2-methylindol-3-yl]acetamido]-2-deoxy-D-glucose.

消炎镇痛药。

Glucametacin,Eutrivan,Indicin,Indoglucin,Indosamide,Teorema,Teoremae,Teoremin.

INN,USAN,MI.

随便看

 

离鸟网收录3541549条中英文词条,其功能与新华字典、现代汉语词典、牛津高阶英汉词典等各类中英文词典类似,基本涵盖了全部常用中英文字词句的读音、释义及用法,是语言学习和写作的有利工具。

 

Copyright © 2004-2024 vtrois.com All Rights Reserved
更新时间:2026/4/18 19:28:22