网站首页  词典首页


请输入您要查询的字词:

 

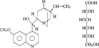
字词 葡糖酸奎尼丁
类别 中英文字词句释义及详细解析
释义 葡糖酸奎尼丁

C20H24N2O2·C6H12O7=520.58

CAS-7054-25-3

CAS-56-54-2(quinidine)

(9S)-6′-甲氧脱氧辛可宁-9-醇单-D-葡萄酸盐。

(9S)-6′-Methoxy-cinchonan-9-ol, mono-D-gluconate(salt).

奎尼定单-D-葡萄糖盐。

Quinidine mono-D-gluconate(salt).

抗心律失常药,抗疟药,心脏抑制药。

葡萄糖酸奎尼丁。

Quinidine Gluconate,Duraquin,Quinaglute.

USAN,USP.

随便看

 

离鸟网收录3541549条中英文词条,其功能与新华字典、现代汉语词典、牛津高阶英汉词典等各类中英文词典类似,基本涵盖了全部常用中英文字词句的读音、释义及用法,是语言学习和写作的有利工具。

 

Copyright © 2004-2024 vtrois.com All Rights Reserved
更新时间:2026/4/19 20:54:56