萘夫西林钠[典]
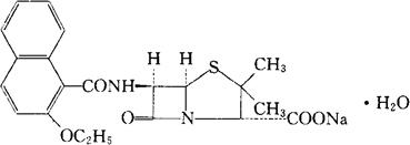
C21H21N2NaO5S·H2O=454.49 CAS-7177-50-6 6-(2-乙氧-萘酰胺基)青霉烷酸钠盐。 6-(2-Ethoxy-1-naphthamido)Penicillanate sodiumsalt. [2S,5R,6R]-6-(2-乙氧-1-萘酰胺基)-3,3-二甲基-7-氧代-4-硫杂-1-氮杂双环[3.2.o]庚烷-2-羧酸单钠盐一分子结晶水。 Monosodium(2S,5R,6R)-6-(2-ethoxy-1-naphthamido)-3,3-dimethyl-7-oxo-4-thia-1-azabicyclo[3.2.0]heptane-2-carboxylate monohydrate. 抗生素类药。用于对青霉素耐药的葡萄球菌感染。 乙氧萘青霉素钠,新青霉素Ⅲ,新青Ⅲ,苯唑青。 Naftopen,Nafcil,Nafcillin Sodium,Unipen,Wy3277. 乙氧萘青霉素钠胶囊。 USAN,USP,MI. 
|