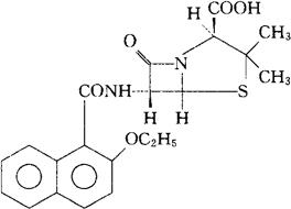
萘夫西林
C21H22N2O5S=414.48 CAS-147-52-4 6-[[(2-乙氧-1-萘基)羰基]氨基]-3,3-二甲基-7-氧代-4-硫杂-1-氮杂双环[3.2.0]庚烷-2-羧酸,[2S-(2α,5α,6β)]。 4-Thia-1-azabicyclo[3.2.0]heptane-2-carboxylic acid,6-[[(2-ethoxy-1-naphhalenyl)carbonyl]amino]-3,3-dimethyl-7-oxo-,[2S-(2α,5α,6β)]. (2S,5R,6R)-6-(2-乙氧-1-萘酰胺基)-3,3-二甲基-7-氧代-4-硫杂-1-氮杂双环[3.2.0]庚烷-2-羧酸。 (2S,5R,6R)-6-(2-Ethoxy-1-naphthamido)-3,3-dimethyl-7-oxo-4-thia-1-azabicyclo[3.2.0]heptane-2-carboxylic acid. 抗生素类药。 乙氧萘青霉素。 Nafcillin. INN,BAN. 
|