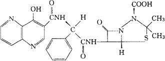
萘啶西林
C25H23N5O6S=521.55 CAS-63469-19-2 6-[2-(4-羟基-1,5-二氮杂萘-3-甲酰胺基)-2-苯基乙酰胺基]青霉烷酸。 6-[2-(4-Hydroxy-1,5-naphthyridine-3-carboxamido)-2-phenyl acetamido]penicillanie acid. (2S,5R,6R)-6-[(R)-2-(4-羟基-1,5-二氮杂萘-3-甲酰胺基)-2-苯乙酰胺基]-3,3-二甲基-7-氧-4-硫杂-1-氮杂双环[3.2.0]庚烷-2-羧酸。 (2S,5R,6R)-6-[(R)-2-(4-Hydroxy-1,5-naphthyri dine-3-carboxamido)-2-phenylacetamido]-3,3-dimethyl-7-oxo-4-thia-1-azabicyclo[3.2.0]heptane2-carboxylic acid. 抗生素类药。 阿帕西林。 Apalcillin. INN,USAN,MI.  |