网站首页  词典首页


请输入您要查询的字词:

 

字词 萍蓬草根
类别 中英文字词句释义及详细解析
释义 萍蓬草根

【名称出处】:《本草拾遗》

【概况】:

异名 水栗子(《纲目》)。

基源 为睡莲科萍蓬草属植物萍蓬草的根状茎。

原植物 萍蓬草Nuphar pumilum(Hoffm.)DC.

余项参见“萍蓬草”条。

。【生药】:

采集 秋季采挖根状茎。

【化学】:

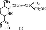
附 同属植物日本萍蓬草(Nuphar japonicurn DC.)根中含萍蓬草定(Nupharidine)、去氧萍蓬草定(Deoxynupharidine)、萍蓬草胺(Nupharamine)、去水萍蓬草胺(Anhydronupharamine)、去氧海狸碱(Deoxycastoramine)、裂环二氢海狸碱(Secodihydrocastoramine)(1)[1~3];另外尚含可水解鞣质:没食子鞣质(五倍子鞣质)(Gallotannin)Ⅰ、Ⅱ、6-O没食子酰葡萄糖、2,3,4,6-四-O-没食子酰葡萄糖[4,5]等;新近,又分得6个化合物,分别命名为萍蓬草碱(拟)(Nupharin)A,B,C,D,E,F[67]

参考文献 [1] 和汉生药 广川书店 1971:209 [2] CA 1975;82:28643d [3] CA 1979;90:204316a [4] Chem Pharm Bull 1982;30(3):1094 [5] Chem Pharm Bull 1987;35(8):3127 [6] Chem Pharm Bull 1989;37(1):129 [7] Chem Pharm Bull 1989;37(7):1735

【药理】:

日本萍蓬草根含萍蓬草定,具有显著的解痉和降压作用,类似阿托品和罂粟碱,强度为阿托品的1/20。小鼠急性毒性LD50(mg/kg),SC为112,iv为31。

参考文献 CA 1966;64:11275a

【药性】:

性味 甘,寒。

《本草拾遗》:“味甘。”

功效 补虚,健胃,调经。

主治 病后体弱,消化不良,月经失调。

用法用量 内服:煎汤,9~15g。

。【临床应用】:

单方应用 《全国中草药汇编》:“治痨热,骨蒸,盗汗,肺结核咳嗽:萍蓬草根10~15g。水煎服。”

随便看

 

离鸟网收录3541549条中英文词条,其功能与新华字典、现代汉语词典、牛津高阶英汉词典等各类中英文词典类似,基本涵盖了全部常用中英文字词句的读音、释义及用法,是语言学习和写作的有利工具。

 

Copyright © 2004-2024 vtrois.com All Rights Reserved
更新时间:2026/4/20 13:09:08