网站首页  词典首页


请输入您要查询的字词:

 

字词 菖蒲叶
类别 中英文字词句释义及详细解析
释义 菖蒲叶

【概况】:

异名 钱蒲、菖蒲、石菖蒲(《纲目》、《植物名实图考》),九节菖蒲(《滇南本草》),建菖蒲、小石菖蒲、随手香(四川)。

基源 为天南星科菖蒲属植物金钱蒲的叶。

原植物 金钱蒲Acorus gramineus Soland.

历史 《纲目》载:“石菖蒲人家以砂栽之一年,至春剪洗,愈剪愈细,高四、五寸,叶如韭,根如匙柄粗者,亦石菖蒲也,甚则根长二、三分,叶长寸许,谓之钱蒲是矣”。

这部分记述,应为本种。但栽培者系叶无剑脊之菖蒲。而金钱蒲是否为前述石菖蒲Acorustatarinowii Schott修剪栽培而成,还有待考证。当前栽培的金钱蒲,个体很小,一般高仅3~5cm,应属本种A.gramineus范畴,在野生条件下,也有金钱蒲生长,有的个体比栽培者更,似与石菖蒲难以区别,根据石菖蒲叶片质地薄,较宽大,揉之气味辛辣;金钱蒲叶片厚,较窄小,芳香,手触摸之后香气长时不散这些特性,仍可区分。

形态 多年生草本,高20~30cm。根状茎较短,长5~10cm,横走或斜伸,芳香,外皮淡黄色,节间长1~5mm;根肉质,多数,长可达15cm;须根密集。

根状茎上部多分枝,呈丛生状。

叶基对折,两侧膜质叶鞘棕色,下部宽2~3mm,上延至叶片中部以下,渐狭,脱落。

叶片质地较厚,线形,绿色,长20~30cm,宽不足6mm,无中肋,平行脉多数。花序柄长2.5~15cm。

叶状佛焰苞短,长3~14cm,为肉穗花序长的1~2倍,狭,宽1~2mm。肉穗花序黄绿色,长3~9.5cm,粗3~5mm,果序粗达1cm,果黄绿色。

花期5~6月,果期7~8月成熟。(图见《中国高等植物图鉴》.第5册.360页.图7549)

生境与分布 生于海拔1800m以下的水旁湿地或石上。

分布于浙江、江西、湖北、湖南、广东、广西、陕西、甘肃、四川、贵州、云南、西藏。各地常栽培。

。【化学】:

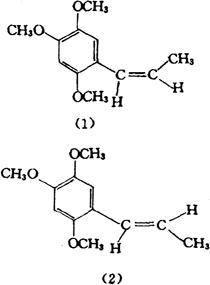
根茎和叶含挥发油,其中主要成分为β-细辛脑(醚)(β-Asarone,顺式)(1),石菖醚(Sekishone,即1-烯丙基-2,4,5-三甲氧基苯),其他还含细辛醛、榄香素、甲基异丁香酚、1-烯丙基-2,4,5-三甲基苯、异-4-丙烯基藜芦醚、双细辛醚[1,2,6]、黄樟醚与α-细辛脑(醚)(α-Asarone,或α-Asarol,反式)(2)[3,4]

根茎还含1,2-二甲氧基-4-(1′Z-丙烯基)苯[1,2-Dimethoxy-4-(1′Z-propenyl)benzene]、1,2-二甲氧基-4-(E-3′-甲基环氧乙烷基)苯(1,2-Dimethoxy-4-(E-3′-methyloxiranyl)benzene)、1,2,4-三甲氧基-5-(1′Z-丙烯基)苯[1,2,4-Trimethoxy-5-(1′Zpropenyl)benzene]、1,2,4-三甲氧基-5-(2′-丙烯基)苯(1,2,4-Trimethoxy-5-(2′-propenyl)benzene)、1,2,4-三甲氧基-5-(E-3′-甲基环氧乙烷基)苯[1,2,4-Trimethoxy-5-(E-3′-methyloxiranyl)benzene)与1,2,4-三甲氧基-5-(1′E-丙烯基)苯[1,2,4-Trimethoxy-5-(1′E-propenyl)benzene][5]、其精油还含2,2,3,5-四甲基-苯并吡喃-4-酮(2,2,3,5-Tetramethyl,chroman-4-one)、白菖酮(Shyobunone)、2-异丙烯基-8,10-二甲基-双环[4.4.0]癸酮-1{Isoproperyl-8,10-dimethyl-bicyclo[4.4.0]-deca-1-one2}[7]

另含一新倍半萜∶石菖蒲酮(Gramenone)[8]

根茎和叶中还含有石竹烯(Caryophyllene)、α-葎草烯(α-Humulene)、氨基酸、有机酸、糖类等[9]

附 另外,对同属植物菖蒲Acorus calamus L.化学成分研究报道较多,主要有苯丙素及其衍生物、单萜和倍半萜类、黄酮类、糖类、脂肪酸类、氨基酸及无机元素等等[10]

参考文献 [1] 中草药 1982;13∶387 [2] 中草药通报 1978;(6)∶1; 1978;(7)∶1 [3] 中成药研究 1984;(1)∶26 [4] 中药通报 1984;9(1)∶12 [5] Phytochemistry 1989;28(9)∶2319 [6] 色谱 1993;11(5)∶267 [7] 色谱 1993;11(6)∶335 [8] 植物资源与环境 1993;2(3)∶22 [9] 江苏新医学院.中药大词典.上册.上海人民出版社,1977∶613 [10] 阴健.中药现代研究与临床应用(2).中医石籍出版社, 1995∶107

。【药性】:

主治 《纲目》:“洗疥、大风疮。”

随便看

 

离鸟网收录3541549条中英文词条,其功能与新华字典、现代汉语词典、牛津高阶英汉词典等各类中英文词典类似,基本涵盖了全部常用中英文字词句的读音、释义及用法,是语言学习和写作的有利工具。

 

Copyright © 2004-2024 vtrois.com All Rights Reserved
更新时间:2026/4/17 23:52:26