莫阿条纹及其应用
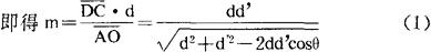
两片光栅常数相近或相等(分别为d及d’)的透明光栅重叠在一起并令它们的刻痕间有一定的夹角θ时,在光波照明下会出现如右图所示的明暗相间的所谓莫阿条纹Ms1,Ms2,Ms3…。 形成莫阿条纹的光栅的光栅常数比普通衍射光栅的光栅常数大得多,相邻莫阿条纹的间距m可由几何关系求出:图中平行四边形ABCD的面积 由余弦定律,则有   当θ很小时,m=dd’/|d-d’的值可以是相当大的。若两光栅的光栅常数相同(d=d’)时,则上式化为  当光栅Ⅰ相对于光栅Ⅱ作微小移动d时,莫阿条纹将移动m,一个小位移产生了一个放大m/d倍的莫阿条纹的位移,莫阿条纹表现了“位移放大器”的作用,利用这一点可测量微小的长度及角度。现在,各种各样的产生莫阿条纹的装置已用于精密仪器及精密机床中。  |