网站首页  词典首页


请输入您要查询的字词:

 

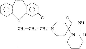
字词 莫沙帕明
类别 中英文字词句释义及详细解析
释义 莫沙帕明

C28H35ClN4O=479.07

CAS-89419-40-9

(±)-1′-[3-(3-氯-10,11-二氢-5H-二苯并[b,f]氮杂因-5-基)丙基]六氢螺][咪唑并[1,2-a]吡啶-3(2H),4′-哌啶]-2-酮。

(±)-1′-[3-(3-Chloro-10,11-dihydro-5H-dibenz[b,f]azepin-5-yl)propyl]hexahydrospiro[imidazo[1,2-a]pyridine-3(2H),4′-piperidin]-2-one.

抗抑郁药。

Mosapramine.

INN,USAN.

随便看

 

离鸟网收录3541549条中英文词条,其功能与新华字典、现代汉语词典、牛津高阶英汉词典等各类中英文词典类似,基本涵盖了全部常用中英文字词句的读音、释义及用法,是语言学习和写作的有利工具。

 

Copyright © 2004-2024 vtrois.com All Rights Reserved
更新时间:2026/4/18 5:20:26