莫昔普利
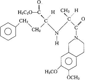
C27H34N2O7=498.58 CAS-103775-10-6 (3S)-2-[(2S)-N-[(1S)-1-羧-3-苯丙基]丙氨酰]-1,2,3,4-四氢-6,7-二甲氧-3-异喹啉羧酸,2-乙基醚。 (3S)-2-[(2S)-N-[(1S)-1-Carboxy-3-phenylpropyl]alanyl]-1,2,3,4-tetrahydro-6,7-dimethoxy-3-isoquinolinecarboxylic acid,2-ethyl ester. 2-[2-[[1-(乙氧基羰基)-3-苯基丙基]氨基]-1-氧代丙基]-1,2,3,4-四氢-6,7-二甲氧基-3-异喹啉羧酸。 2-[2-[[1-(Ethoxycarbomyl)-3-phenylpropyl]amino]-1-oxopropyl]-1,2,3,4-tetrahydro-6,7-dimethoxy-3-isoquinolinecarboxylic acid. 血管紧张素转化酶抑制药,抗高血压药。 莫西卜里。 Moexipril,RS-10085. INN,USAN.  |