网站首页  词典首页


请输入您要查询的字词:

 

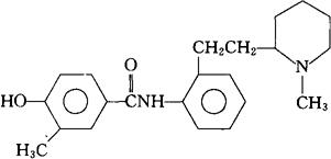
字词 莫地卡萘
类别 中英文字词句释义及详细解析
释义 莫地卡萘

C22H28N2O3=368.48

CAS-82522-70-1

(±)-4-羟-3-甲氧-N-[2-[2-(1-甲基-2-哌啶基)乙基]苯基]-苯甲酰胺。

(±)-4-Hydroxy-3-methoxy-N-[2-[2-(1-methyl-2- piperidinyl)ethyl]phenyl]-benzamide.

(±)-2′-[2-(1-甲基-2-哌啶基)乙基]香草酰苯胺。

(±)-2′-[2-(1-Methyl-2-piperidyl)ethyl]vanillaniliden.

抗心律失常药。

莫地卡尼。

Modecainide,BMY-40327.

INN,USAN.

随便看

 

离鸟网收录3541549条中英文词条,其功能与新华字典、现代汉语词典、牛津高阶英汉词典等各类中英文词典类似,基本涵盖了全部常用中英文字词句的读音、释义及用法,是语言学习和写作的有利工具。

 

Copyright © 2004-2024 vtrois.com All Rights Reserved
更新时间:2026/4/18 4:18:54