网站首页  词典首页


请输入您要查询的字词:

 

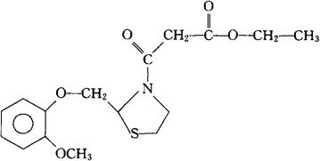
字词 莫吉司坦
类别 中英文字词句释义及详细解析
释义 莫吉司坦

C16H21NO5S=339.41

CAS-119637-67-1

(±)-2-[(邻-甲氧苯氧基)甲基]-β-氧代-3-噻唑烷丙酸乙酯。

Ethyl(±)-2-[(o-methoxyphenoxy)methyl]-β-oxo3-thiazolidinepropionate.

镇咳药。

Moguisteine.

INN,USAN.

随便看

 

离鸟网收录3541549条中英文词条,其功能与新华字典、现代汉语词典、牛津高阶英汉词典等各类中英文词典类似,基本涵盖了全部常用中英文字词句的读音、释义及用法,是语言学习和写作的有利工具。

 

Copyright © 2004-2024 vtrois.com All Rights Reserved
更新时间:2026/4/18 3:37:53