网站首页  词典首页


请输入您要查询的字词:

 

字词 荧光增白剂VBL
类别 中英文字词句释义及详细解析
释义 荧光增白剂VBL

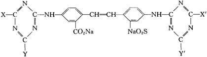
阴离子型化合物。

化学组成二苯乙烯双三嗪型衍生物。结构式:

为淡黄色粉末,荧光色绸青光微紫。

不宜于阳离子染料,真丝洋纺增白用0.3~0.4g/L,用量不宜过多,过量时白度反而降低,甚至泛黄。

随便看

 

离鸟网收录3541549条中英文词条,其功能与新华字典、现代汉语词典、牛津高阶英汉词典等各类中英文词典类似,基本涵盖了全部常用中英文字词句的读音、释义及用法,是语言学习和写作的有利工具。

 

Copyright © 2004-2024 vtrois.com All Rights Reserved
更新时间:2026/4/20 20:15:23