网站首页  词典首页


请输入您要查询的字词:

 

字词 草苁蓉
类别 中英文字词句释义及详细解析
释义 草苁蓉

【名称出处】:《中国高等植物图鉴》

【概况】:

异名 列当(《陕西中药名录》)。

基源 为列当科草苁蓉属植物草苁蓉的全草。

原植物 草苁蓉Boschniakia rossica(Cham.et Schlecht.)Fedtsch.et Flerov(Boschniakia glabra C.A.Mey.)

形态 一年生寄生草本,高15~35cm,全体近无毛,根状茎瘤状膨大,长圆柱状,茎单一,直立,不分枝,粗壮肉质,紫褐色,直径1.5~2cm。叶密集生于茎近基部,鳞片状,三角形或卵形,螺旋状排列于茎上.先端锐尖。穗状花序圆柱形,长7~22cm,直径1.5~2.5cm;苞片1枚,宽卵形或近圆形;小苞片无;花梗长1~2mm或几无梗;花萼杯状,顶端不整齐地3~5齿裂,裂片狭三角形或披针形,不等长,后面2枚较小或近无,前面3枚长2.5~3.5mm,边缘被短柔毛;花冠唇形,暗红紫色.长1~1.2cm,筒基部膨大成束状,上唇直立、近头盔状,下唇极短,3裂,常向外反折;雄蕊4枚,2强,稍伸出花冠外;雌蕊由2合生心皮组成,子房近球形,花柱略显,无毛,柱头盘状,2浅裂。

蒴果卵球形,2瓣开裂,顶端常具宿存的花柱基部,斜喙状,种子小,多枚,种皮具网状纹饰。花期5~7月,果期7~9月。

(图见《中国高等植物图鉴》.第4册.112页.图5638)

生境与分布 生于海拔1500~1800m的山坡、林下低湿处及河边,常寄生于桤木属(Alnus Mill.)植物根上。产于黑龙江、吉林、辽宁、内蒙古等地。

【化学】:

地上部分含草苁蓉碱(Boschniakine)、草苁蓉内酯(Boschria lactone)、又含C9,C10和C11萜内酯[1]

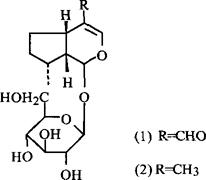
根茎含甘露醇,生物碱[1]。新鲜全株含环烯醚萜甙:草苁蓉醛甙(Boschnaloside)(1)、草苁蓉甙(Boschnaside)(2)、松勒辛醇-β-D-葡萄糖甙((d)-Pinoresinol-β-D-glucoside)、活性寡糖:β-D-葡萄糖(1-4)-α-L-鼠李糖(1-3)-D-(4-O-咖啡酰)-葡萄糖(β-D-Glucosyl(1-4)-α-L-rhamnosyl-(1-3)-D-(4-O-caffeoyl)-glucose),木脂素甙:草苁蓉甙A、B、C、D(Rossicaside A、B、C、D)以及p香草酸(p-Coumaric acid)、p-香草酸甲酯、β-谷甾酸、齐墩果酸、3-表齐墩果酸等[2]

参考文献 [1] 新华本草纲要.第1册.上海科学技术出版社,1988:480 [2] Chem Pharm Bull 1987;35(10):4155。【药性】:

性味 甘、咸,温。

《全国中草药汇编》:“甘、咸,温。”

功效 补肾壮阳,润肠通便,止血。

主治 肾虚阳痿,腰膝冷痛,肠燥便秘,膀胱炎。

❶ 《长白山药用植物调查》:“滋阴补阳,止血。治膀胱炎,膀胱出血及肾脏出血。”
❷ 《吉林中草药》:“补肾壮阳,润肠通便。治肾虚阳痿,腰膝冷痛,肠燥便秘,膀胱炎。”

用法用量 内服:煎汤,15~30g;或浸酒。

。【临床应用】:

方选和验方 ❶ 《吉林中草药》:“1)治老年习惯性便秘:草苁蓉30g,大麻仁15g。水煎服,日2次。2)治阳痿:草苁蓉30g,菖蒲12g,菟丝子24g。水煎服,日2服。”
❷ 《长白山药用植物调查》:“治不孕症,兼有强心功效:草苁蓉60g,白酒500ml,同浸一周后服用。”

单方应用 《全国中草药汇编》:“治肾虚阳痿,腰膝冷痛,肠燥便秘:草苁蓉6~18g,水煎服。”

随便看

 

离鸟网收录3541549条中英文词条,其功能与新华字典、现代汉语词典、牛津高阶英汉词典等各类中英文词典类似,基本涵盖了全部常用中英文字词句的读音、释义及用法,是语言学习和写作的有利工具。

 

Copyright © 2004-2024 vtrois.com All Rights Reserved
更新时间:2026/4/18 11:13:58