网站首页  词典首页


请输入您要查询的字词:

 

字词 茶碱那林
类别 中英文字词句释义及详细解析
释义 茶碱那林

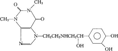
C17H21N5O5=375.38

CAS-13460-98-5

7-[2-[[2-(3,4-二羟苯基)-2-羟乙基]氨基]乙基]-3,7-二氢-1,3-二甲基-间-嘌呤-2,6-二酮。

7-[2-[[2-(3,4-Dihydroxyphenyl)-2-hydroxyethyl]amino]ethyl]-3,7-dihydro-1,3-dimethyl-m-purine2,6-dione.

7-[2-[2-(3,4-二羟苯基)-2-羟乙基氨基]乙基]茶碱。

7-[2-[2-(3,4-Dihydroxyphenyl)-2-hydroxyethylamino]ethyl]theophylline.

中枢兴奋药。

Theodrenaline,D 470,H 8352,NAT.

INN,BAN,USAN.

随便看

 

离鸟网收录3541549条中英文词条,其功能与新华字典、现代汉语词典、牛津高阶英汉词典等各类中英文词典类似,基本涵盖了全部常用中英文字词句的读音、释义及用法,是语言学习和写作的有利工具。

 

Copyright © 2004-2024 vtrois.com All Rights Reserved
更新时间:2026/4/18 6:14:15