网站首页  词典首页


请输入您要查询的字词:

 

字词 英寸制齿轮的判别计算
类别 中英文字词句释义及详细解析
释义 英寸制齿轮的判别计算

[说明]在造纸厂中有些进口设备以及某些比较陈旧的设备(如某些旧式纸机、漂洗机等),使用著英寸制齿轮(或称英制齿轮)。英寸制齿轮是采用英寸表示的节制,它略不同于我国现在普遍采用的模数制齿轮(或称公制齿轮)。在节制中,用节(Pitch)来表示齿的尺寸关系。节制可以分为径节制(以Dr表示)、周节制(以P表示)和弦节制,以径节制最常用。英寸制齿轮的压力角常用有、15°,20°等,齿形分为标准齿(fa=1)和短齿(fd=0.8)两种。

对于某些“情况不明”的齿轮,即不知道齿轮是模数制还是径节制,压力角是多少,齿形是标准齿还是短齿等,可依照下列方法进行判别。

[方法及公式]❶ 数出齿数Z;

❷ 测量公法线长度,求出基节P。若跨齿数为n,量得的公法线长度为Wn,减少一个齿所量得的公法线长度为Wn-1,则:

❸ 确定模数m或者径节Dp以及压力角α。可根据上述测量的基节P的数值,查表2-1-5即可确定;

表2-1-5 基节与模数或径节以及压力角α的关系

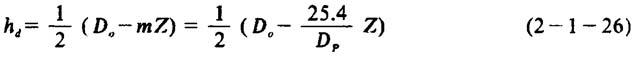
❹ 测量齿顶圆直径,求出齿顶高,确定是标准齿或是短齿形。

式中 hd——齿顶高(mm)

D0——齿顶圆直径(mm)

Dp——径节(in)

Z——齿数

[例]有一个油泵齿轮,数出齿数Z=16,测出公法线长度W2=730mm,W3=12.0mm,试确定它的模数m或径节Dp以及压力角α,并判别它的齿形。

解:
❶ 求基节P

P=W3-W2=12.0-7.30=4.70(mm)

❷ 确定模数m或径节Dp以及压力角α

由P值查表2-1-5得径节Dp=16,当α=20°时,P=4.688与4.70接近,故可确定该齿轮径节为Dp=16,压力角α=20°,属英寸制齿轮。

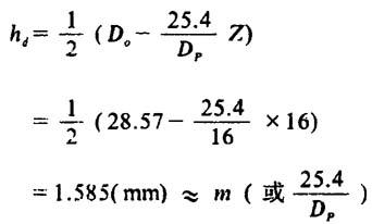
❸ 测量该齿轮的齿顶圆直径D0=28.57mm,故齿顶高为:

从而确定齿顶高系数等于1,故该齿轮属标准齿形。

随便看

 

离鸟网收录3541549条中英文词条,其功能与新华字典、现代汉语词典、牛津高阶英汉词典等各类中英文词典类似,基本涵盖了全部常用中英文字词句的读音、释义及用法,是语言学习和写作的有利工具。

 

Copyright © 2004-2024 vtrois.com All Rights Reserved
更新时间:2026/4/18 23:17:44