网站首页  词典首页


请输入您要查询的字词:

 

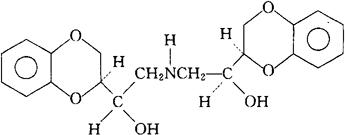
字词 苯达洛尔
类别 中英文字词句释义及详细解析
释义 苯达洛尔

C20H23NO6=373.41

CAS-81703-42-6

(αR,α′S,2S,2′R)-α,α′-(亚氨基二亚甲基)双[1,4-苯并二烷-2-甲醇。

(αR,α′S,2S,2′R)-α,α′-(Iminodimethylene)bis[1,4-benzodioxan-2-methanol.

抗高血压药。

冰达卡醇。

Bendacalol.

随便看

 

离鸟网收录3541549条中英文词条,其功能与新华字典、现代汉语词典、牛津高阶英汉词典等各类中英文词典类似,基本涵盖了全部常用中英文字词句的读音、释义及用法,是语言学习和写作的有利工具。

 

Copyright © 2004-2024 vtrois.com All Rights Reserved
更新时间:2026/4/18 2:25:13