网站首页  词典首页


请输入您要查询的字词:

 

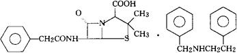
字词 苯明西林
类别 中英文字词句释义及详细解析
释义 苯明西林

C16H18N2O4S·C15H17N=545.70

CAS-751-84-8

N-苄基苯乙胺苄基青霉素盐。

Benzylpenicillin salt of N-benzylphenethylamine.

抗生素类药。

苄胺青霉素。

Benethamine Penicillin,Benethamine Penicillin G,Benetacil,Benapen,Tenepenin.

INN,BAN,USAN.

随便看

 

离鸟网收录3541549条中英文词条,其功能与新华字典、现代汉语词典、牛津高阶英汉词典等各类中英文词典类似,基本涵盖了全部常用中英文字词句的读音、释义及用法,是语言学习和写作的有利工具。

 

Copyright © 2004-2024 vtrois.com All Rights Reserved
更新时间:2026/4/17 19:00:13