网站首页  词典首页


请输入您要查询的字词:

 

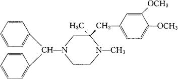
字词 苯地利嗪
类别 中英文字词句释义及详细解析
释义 苯地利嗪

C28H34N2O2=430.59

CAS-59752-23-7

(R)-4-(二苯甲基)-1,2-二甲基-2-藜芦基哌嗪。

(R)-4-(Diphenylmethyl)-1,2-dimethy1-2-veratrylpiperazine.

抗心律失常药。

Benderizine.

INN,USAN.

随便看

 

离鸟网收录3541549条中英文词条,其功能与新华字典、现代汉语词典、牛津高阶英汉词典等各类中英文词典类似,基本涵盖了全部常用中英文字词句的读音、释义及用法,是语言学习和写作的有利工具。

 

Copyright © 2004-2024 vtrois.com All Rights Reserved
更新时间:2026/4/19 7:00:39