网站首页  词典首页


请输入您要查询的字词:

 

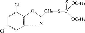
字词 苯噁扎磷
类别 中英文字词句释义及详细解析
释义 苯噁扎磷

C12H14Cl2NO3PS2=386.25

CAS-16759-59-4

S-[(5,7-二氯苯并噁唑-2-基)甲基]O,O-二乙基二硫代磷酸酯。

S-[(5,7-Dichlorobenzoxazol-2-yl)methyl]O,O-diethyl phosphorodithioate.

Benoxafos,Batesfan,HOE 2910.

INN,USAN.

随便看

 

离鸟网收录3541549条中英文词条,其功能与新华字典、现代汉语词典、牛津高阶英汉词典等各类中英文词典类似,基本涵盖了全部常用中英文字词句的读音、释义及用法,是语言学习和写作的有利工具。

 

Copyright © 2004-2024 vtrois.com All Rights Reserved
更新时间:2026/4/18 1:23:11