网站首页  词典首页


请输入您要查询的字词:

 

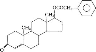
字词 苯乙酸睾丸素[中]
类别 中英文字词句释义及详细解析
释义 苯乙酸睾丸素[中]

C27H34O3=406,56

CAS-5704-03-0

17-[(苯乙酰)氧]雄甾-4-烯-3-酮。

17-[(Phenylacetyl)oxy]androst-4-en-3-one.

睾丸素苯乙酸酯。

Testosterone phenylacetate.

雄性激素类药。用于垂体侏儒症、再生障碍性贫血、无睾症等。

长效睾丸素,苯乙酸睾酮,睾酮苯乙酸酯,苯乙酸睾酮。

Testosterone Phenylacetate,Perandren Phenylacetate.

苯乙酸睾丸素注射液(苯乙酸睾酮注射液)。

USAN,MI.

随便看

 

离鸟网收录3541549条中英文词条,其功能与新华字典、现代汉语词典、牛津高阶英汉词典等各类中英文词典类似,基本涵盖了全部常用中英文字词句的读音、释义及用法,是语言学习和写作的有利工具。

 

Copyright © 2004-2024 vtrois.com All Rights Reserved
更新时间:2026/4/18 18:10:18