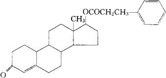
苯丙酸诺龙[典]
C27H34O3=406.56 CAS-62-90-8 17β-羟雌甾-4-烯-3-酮氢化肉桂酸酯。 17β-Hydroxyestr-4-en-3-one hydrocinnamate. 同化激素类药。用于营养不良、慢性消耗性疾病的恢复期及骨质疏松症等。 苯丙酸去甲睾丸酮,诺龙苯丙酸酯,多乐宝灵,苯丙酸南诺龙。 Nandrolone Phenylpropionate, Norandrostenolone Phenylpropionate,Durabolin. 苯丙酸诺龙注射液。 BP,USAN,USP,MI. 
|