网站首页  词典首页


请输入您要查询的字词:

 

字词 苛化石灰消耗量的计算
类别 中英文字词句释义及详细解析
释义 苛化石灰消耗量的计算

(一)方法一

【说明】 根据苛化反应:

CaO+H2O+Na2CO32NaOH+CaCO3/p>

1molCaO1molNa↓(2CO3

即56gCaO正好与106gNa2CO3完全作用,故可导出其计算式如下:

【公式】

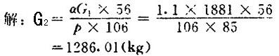
式中 G2——石灰消耗量(kg)

G1——绿液中Na2CO3含量(kg)

p——石灰的纯度(%)

α—石灰过量系数,通常取1.05~1.10

【例2】 求例1中的石灰用量。a取1.1

(二)方法二

【公式】

式中 G1——石灰用量(kg/t浆)

A——蒸煮清耗的有效碱(kg/t浆)(Na2O计)

S——白液的硫化度(%)

m——苛化率(%)

a——石灰过量系数,同上

p——石灰中有效CaO含量(%)

随便看

 

离鸟网收录3541549条中英文词条,其功能与新华字典、现代汉语词典、牛津高阶英汉词典等各类中英文词典类似,基本涵盖了全部常用中英文字词句的读音、释义及用法,是语言学习和写作的有利工具。

 

Copyright © 2004-2024 vtrois.com All Rights Reserved
更新时间:2026/4/17 20:32:49