苛化器蒸汽用量的计算
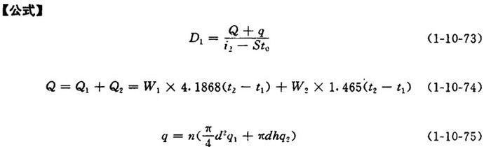
 式中 D1——苛化器蒸汽耗用量(kg/h) Q—苛化所需热量(kJ/h) Q1——液体所需热量(kJ/h) Q2——碱和固体物所需热量(kJ/h) W1——苛化液量(kg/h) W2——碱和固体物量(kg/h) t1——苛化液进入温度(℃) t2——苛化温度(℃) t0——凝结水温度(℃) q——热损失(kJ/h) S——水的比热[kJ/(kg·℃)],取4.1868 d——苛化器直径(m) h——苛化器高度(m) q1——苛化器上部热损失[kJ/(m2·h)] q2——苛化器四周热损失[kJ/(m2·h)] i2——蒸汽热焓(kJ/kg) n——荷化器台数,一般为2台 1.465及4.1868——分别为固形物及水的比热容[kJ/(kg·℃)] |